Siste oppdatering :
18/03/2026
Antikoagulantia   Heparin sodium  
Injeksjon
Oppløsningsstabilitet Stabilitet i blandinger Faktorer som påvirker stabiliteten Kompatibilitet Administrasjonsmåte Referanser pdf
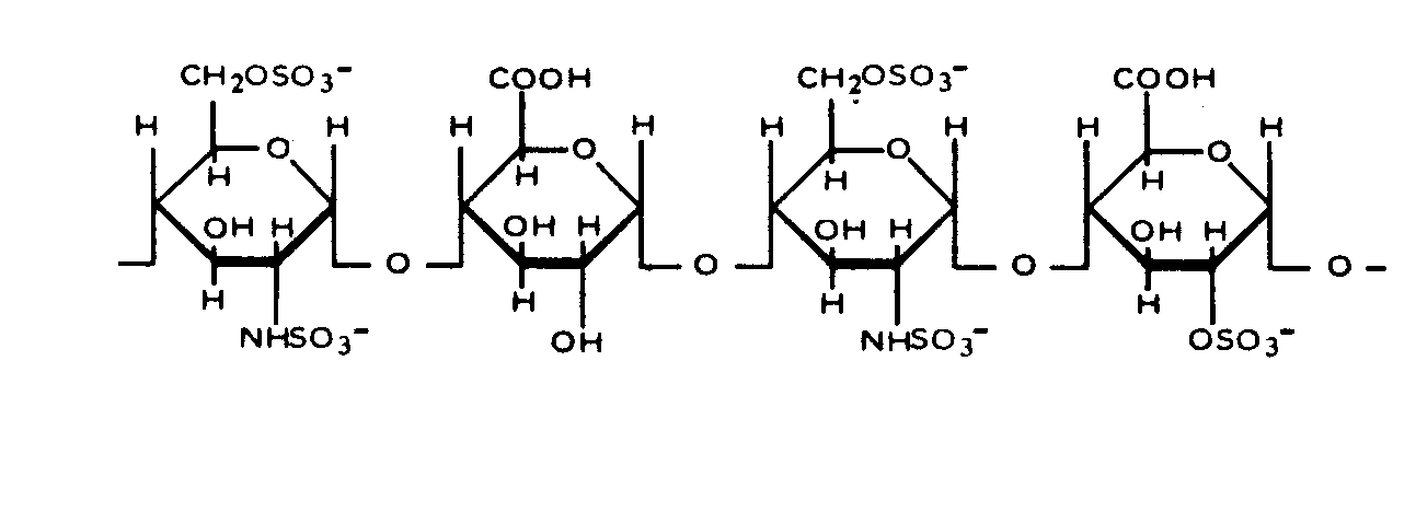
   Kjemisk struktur  

Handelsnavn   Handelsnavn     

Handelsnavn er veiledende og sammensetning av hjelpestoffer kan være forskjellig avhengig av land og produsent

Arapin Chile
Ateroclar Italia
Clarisco Italia
Epsoclar Italia
Hepaflex Finland, Norge
Hepamax Chile, Colombia, Ecuador
Heparin Canada, Danmark, Finland, Hellas, Jugoslavia, Nederland, Norge, russisk, Storbritannia, Sveits, Sverige, Sør-Afrika, Thailand, Tyrkia, Ungarn, USA, Østerrike
Heparine Belgia, Frankrike
Heparinised Australia
Heparstad Tyskland
Liquemin Sveits, Tyrkia
Liquemine Brasil
Monoparin Saudi-Arabia
Normoparin Italia
Nuparin Ecuador
Pharepa Italia
Riveparin Argentina
Sobrius Argentina, Ecuador
Thrombophob Tyskland
Oppløsningsstabilitet   Injeksjon   Oppløsningsstabilitet : Heparin sodium     
Beholder Oppløsningsmiddel Konsentrasjon Temperatur Oppbevaring Varighet av stabilitet Referanser
Glass Natriumklorid 0,9 % 1 UI/ml 25°C Lys
365 Dag
4166
Biologisk metode

Polyvinylklorid Natriumklorid 0,9 % 1 UI/ml 20°C-25°C Ikke angitt
365 Dag
1291
Biologisk metode

Polyvinylklorid Glukose 5 % 1 UI/ml 20°C-25°C Ikke angitt
365 Dag
1291
Biologisk metode

Polyvinylklorid Glukose 5 % 10 UI/ml 20°C-25°C Ikke angitt
365 Dag
1291
Biologisk metode

Polyetylen Natriumklorid 0,9 % 7 UI/ml 22°C Beskyttes mot lys
24 Tid
1067
Bevisgrad C

Polyetylen Natriumklorid 0,9 % 7 UI/ml 4°C Beskyttes mot lys
24 Tid
1067
Bevisgrad C

Polyetylen Glukose 5 % 7 UI/ml 22°C Beskyttes mot lys
24 Tid
1067
Bevisgrad C

Polyetylen Glukose 5 % 7 UI/ml 4°C Beskyttes mot lys
24 Tid
1067
Bevisgrad C

Sprøyte polypropylen Natriumklorid 0,9 % 1 UI/ml 20°C Ikke angitt
365 Dag
1234
Biologisk metode

Sprøyte polypropylen Natriumklorid 0,9 % 1 UI/ml 37°C Ikke angitt
365 Dag
1234
Biologisk metode

Sprøyte polypropylen Natriumklorid 0,9 % 100 UI/ml 4°C Beskyttes mot lys
14 Dag
895
Biologisk metode

Sprøyte polypropylen Natriumklorid 0,9 % 500 UI/ml 25°C Beskyttes mot lys
21 Dag
1183
Biologisk metode

Sprøyte polypropylen Natriumklorid 0,9 % 500 UI/ml 4°C Beskyttes mot lys
21 Dag
1183
Biologisk metode

Sprøyte polypropylen Ingen 1000 & 40000 UI/ml 30°C Ikke angitt
30 Dag
874
Bevisgrad B

Ikke angitt Natriumklorid 0,9 % 5 UI/ml 4°C Beskyttes mot lys
28 Dag
791
Biologisk metode


  Mentions Légales