viimane versioon :
27/11/2025
antikoagulant   Heparin sodium  
Süsteravim
Stabiilsus lahustes Stabiilsust mõjutavad tegurid stabiilsust mõjutavad faktorid Sobimatus Manustamis viis Viited pdf
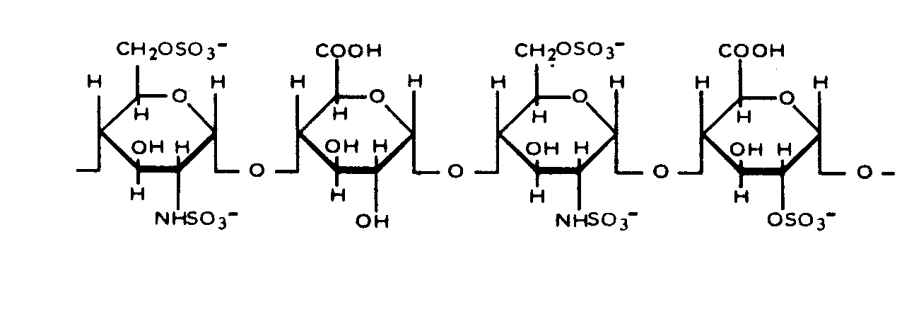
   keemiline struktuur  

Kaubanduslikud nimed erinevates maades   Kaubanduslikud nimed erinevates maades     

Preparaatide nimed on näitlikud ja abianete sisaldus võib erineda sõltuvalt riigist ja laborist

Arapin Tšiili
Ateroclar Itaalia
Clarisco Itaalia
Epsoclar Itaalia
Hepaflex Norra, Soome
Hepamax Ecuador, Kolumbia, Tšiili
Heparin Ameerika ühendriigid, Austria, Holland, Jugoslaavia, Kanada, Kreeka, Lõuna Aafrika Vabariik, Norra, Rootsi, Soome, Suurbritannia, Sveits, Taani, Tai, Türgi, Ungari, vene
Heparine Belgia, Prantsusmaa
Heparinised Austraalia
Heparstad Saksamaa
Liquemin Sveits, Türgi
Liquemine Brasiilia
Monoparin Saudi Araabia
Normoparin Itaalia
Nuparin Ecuador
Pharepa Itaalia
Riveparin Argentiina
Sobrius Argentiina, Ecuador
Thrombophob Saksamaa
Stabiilsus lahustes   Süsteravim   Stabiilsus lahustes : Heparin sodium     
konteiner lahusti kontsentratsioon temperatuur ladustamine Stabiilsuse kestus Viited
klaas naatriumkloriid 0.9% 1 UI/ml 25°C valgus
365 päev
4166
Bioloogiline analüüs

polüvinüülkloriid NaCl 0,9% või glükoos 5% 1 UI/ml 20°C-25°C pole täpsustatud
365 päev
1291
Bioloogiline analüüs

polüvinüülkloriid glükoos 5% 10 UI/ml 20°C-25°C pole täpsustatud
365 päev
1291
Bioloogiline analüüs

polüetüleen NaCl 0,9% või glükoos 5% 7 UI/ml 22°C kaitsta valguse eest
24 Tund
1067
Tõenduspõhisuse tase C

polüetüleen NaCl 0,9% või glükoos 5% 7 UI/ml 4°C kaitsta valguse eest
24 Tund
1067
Tõenduspõhisuse tase C

süstal  polüpropüleenist naatriumkloriid 0.9% 1 UI/ml 20°C pole täpsustatud
365 päev
1234
Bioloogiline analüüs

süstal  polüpropüleenist naatriumkloriid 0.9% 1 UI/ml 37°C pole täpsustatud
365 päev
1234
Bioloogiline analüüs

süstal  polüpropüleenist naatriumkloriid 0.9% 100 UI/ml 4°C kaitsta valguse eest
14 päev
895
Bioloogiline analüüs

süstal  polüpropüleenist naatriumkloriid 0.9% 500 UI/ml 25°C kaitsta valguse eest
21 päev
1183
Bioloogiline analüüs

süstal  polüpropüleenist naatriumkloriid 0.9% 500 UI/ml 4°C kaitsta valguse eest
21 päev
1183
Bioloogiline analüüs

süstal  polüpropüleenist mitte ükski 1000 & 40000 UI/ml 30°C pole täpsustatud
30 päev
874
Tõenduspõhisuse tase B

pole täpsustatud naatriumkloriid 0.9% 5 UI/ml 4°C kaitsta valguse eest
28 päev
791
Bioloogiline analüüs


  Mentions Légales