آخر تحديث :
18/03/2026
  مضاد للتخثر   Heparin sodium  
حقن
الاستقرار في حلول استقرار مخاليط العوامل التي تؤثر على الاستقرار التوافق طريقة التعاطي مراجع pdf
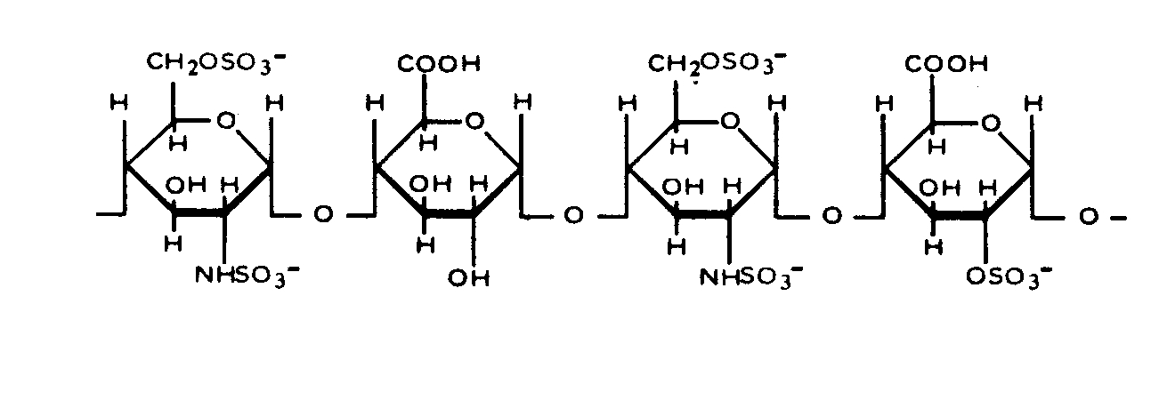
   التركيب الكيميائي  

حجز الاسم التجاري   حجز الاسم التجاري     

تحذير الأسماء التجاريه المختلفه قد تحتوي علي محتوي إضافات مختلفة حسب الدوله و المعمل

Arapin تشيلي
Ateroclar إيطاليا
Clarisco إيطاليا
Epsoclar إيطاليا
Hepaflex النرويج, فنلندا
Hepamax الإكوادور, تشيلي, كولومبيا
Heparin الدنمارك, الروسية, السويد, النرويج, النمسا, الولايات المتحدة, بريطانيا العظمي, تايلاند, تركيا, جمهورية جنوب أفريقيا, سويسرا, صربيا, فنلندا, كندا, هنغاريا, هولندا, يونان
Heparine بلجيكا, فرنسا
Heparinised أستراليا
Heparstad ألمانيا
Liquemin تركيا, سويسرا
Liquemine البرازيل
Monoparin العربية السعودية
Normoparin إيطاليا
Nuparin الإكوادور
Pharepa إيطاليا
Riveparin الأرجنتين
Sobrius الأرجنتين, الإكوادور
Thrombophob ألمانيا
الاستقرار في حلول   حقن   الاستقرار في حلول : Heparin sodium     
حاوية مذيب تركيز درجة الحرارة تخزين مدة الاستقرار مراجع
زجاج كلوريد الصوديوم 0.9% 1 UI/ml 25°C ضوء
365 يوم
4166
التحليل البيولوجي

البولي فينيل كلوريد كلوريد الصوديوم 0.9% 1 UI/ml 20°C-25°C لم يتم تحديد
365 يوم
1291
التحليل البيولوجي

البولي فينيل كلوريد الجلوكوز %5 1 UI/ml 20°C-25°C لم يتم تحديد
365 يوم
1291
التحليل البيولوجي

البولي فينيل كلوريد الجلوكوز %5 10 UI/ml 20°C-25°C لم يتم تحديد
365 يوم
1291
التحليل البيولوجي

البولي ايثيلين كلوريد الصوديوم 0.9% 7 UI/ml 22°C بعيدا عن الضوء
24 ساعة
1067
C مستوى الأدلة

البولي ايثيلين كلوريد الصوديوم 0.9% 7 UI/ml 4°C بعيدا عن الضوء
24 ساعة
1067
C مستوى الأدلة

البولي ايثيلين الجلوكوز %5 7 UI/ml 22°C بعيدا عن الضوء
24 ساعة
1067
C مستوى الأدلة

البولي ايثيلين الجلوكوز %5 7 UI/ml 4°C بعيدا عن الضوء
24 ساعة
1067
C مستوى الأدلة

محقنة البولي بروبلين كلوريد الصوديوم 0.9% 1 UI/ml 20°C لم يتم تحديد
365 يوم
1234
التحليل البيولوجي

محقنة البولي بروبلين كلوريد الصوديوم 0.9% 1 UI/ml 37°C لم يتم تحديد
365 يوم
1234
التحليل البيولوجي

محقنة البولي بروبلين كلوريد الصوديوم 0.9% 100 UI/ml 4°C بعيدا عن الضوء
14 يوم
895
التحليل البيولوجي

محقنة البولي بروبلين كلوريد الصوديوم 0.9% 500 UI/ml 25°C بعيدا عن الضوء
21 يوم
1183
التحليل البيولوجي

محقنة البولي بروبلين كلوريد الصوديوم 0.9% 500 UI/ml 4°C بعيدا عن الضوء
21 يوم
1183
التحليل البيولوجي

محقنة البولي بروبلين لا شيء 1000 & 40000 UI/ml 30°C لم يتم تحديد
30 يوم
874
B مستوى الأدلة

لم يتم تحديد كلوريد الصوديوم 0.9% 5 UI/ml 4°C بعيدا عن الضوء
28 يوم
791
التحليل البيولوجي


  Mentions Légales