Ultimo aggiornamento :
27/11/2025
Anticoagulante   Heparin sodium  
Iniezione
Stabilità in soluzione Stabilità in miscela Fattori che influenzano la stabilità Compatibilità metodo di iniezione Bibliografia pdf
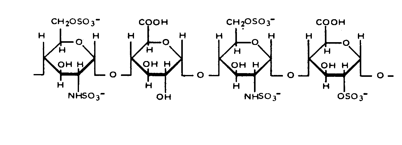
   Struttura chimica  

Nome commerciale   Nome commerciale     

Trade names are indicative and excipients composition can be different depending on the country and manufacturers

Arapin Chile
Ateroclar Italia
Clarisco Italia
Epsoclar Italia
Hepaflex Finlandia, Norvegia
Hepamax Chile, Colombia, Ecuador
Heparin Africa del Sud, Austria, Canada, Danimarca, Finlandia, Gran Bretagna, Grecia, Iugoslavia, Norvegia, Paesi Bassi, russo, Stati Uniti d’America, Svezia, Svizzera, Tailandia, Turchia, Ungheria
Heparine Belgio, Francia
Heparinised Australia
Heparstad Germania
Liquemin Svizzera, Turchia
Liquemine Brasile
Monoparin Arabia Saudita
Normoparin Italia
Nuparin Ecuador
Pharepa Italia
Riveparin Argentina
Sobrius Argentina, Ecuador
Thrombophob Germania
Stabilità in soluzione   Iniezione   Stabilità in soluzione : Heparin sodium     
contenitore Solvente Concentrazione Temperatura Conservazione Durata della stabilità Bibliografia
Vetro Cloruro di sodio 0,9% 1 UI/ml 25°C Luce
365 Giorno
4166
Analisi biologica

Cloruro di polivinile NaCl 0,9% o glucosio 5% 1 UI/ml 20°C-25°C Non precisata
365 Giorno
1291
Analisi biologica

Cloruro di polivinile Glucosio 5% 10 UI/ml 20°C-25°C Non precisata
365 Giorno
1291
Analisi biologica

Polietilene NaCl 0,9% o glucosio 5% 7 UI/ml 22°C Al riparo dalla luce
24 Ora
1067
Livello di evidenza C

Polietilene NaCl 0,9% o glucosio 5% 7 UI/ml 4°C Al riparo dalla luce
24 Ora
1067
Livello di evidenza C

siringa polipropilene Cloruro di sodio 0,9% 1 UI/ml 20°C Non precisata
365 Giorno
1234
Analisi biologica

siringa polipropilene Cloruro di sodio 0,9% 1 UI/ml 37°C Non precisata
365 Giorno
1234
Analisi biologica

siringa polipropilene Cloruro di sodio 0,9% 100 UI/ml 4°C Al riparo dalla luce
14 Giorno
895
Analisi biologica

siringa polipropilene Cloruro di sodio 0,9% 500 UI/ml 25°C Al riparo dalla luce
21 Giorno
1183
Analisi biologica

siringa polipropilene Cloruro di sodio 0,9% 500 UI/ml 4°C Al riparo dalla luce
21 Giorno
1183
Analisi biologica

siringa polipropilene Nessuno 1000 & 40000 UI/ml 30°C Non precisata
30 Giorno
874
Livello di evidenza B

Non precisato Cloruro di sodio 0,9% 5 UI/ml 4°C Al riparo dalla luce
28 Giorno
791
Analisi biologica


  Mentions Légales