Laatste update :
18/03/2026
Anticoagulans   Heparin sodium  
injecteerbaar geneesmiddel
Stabiliteit in oplossing Stabiliteit in mengsels Factoren die de stabiliteit beïnvloeden Verenigbaarheden Toedieningswijze Literatuur pdf
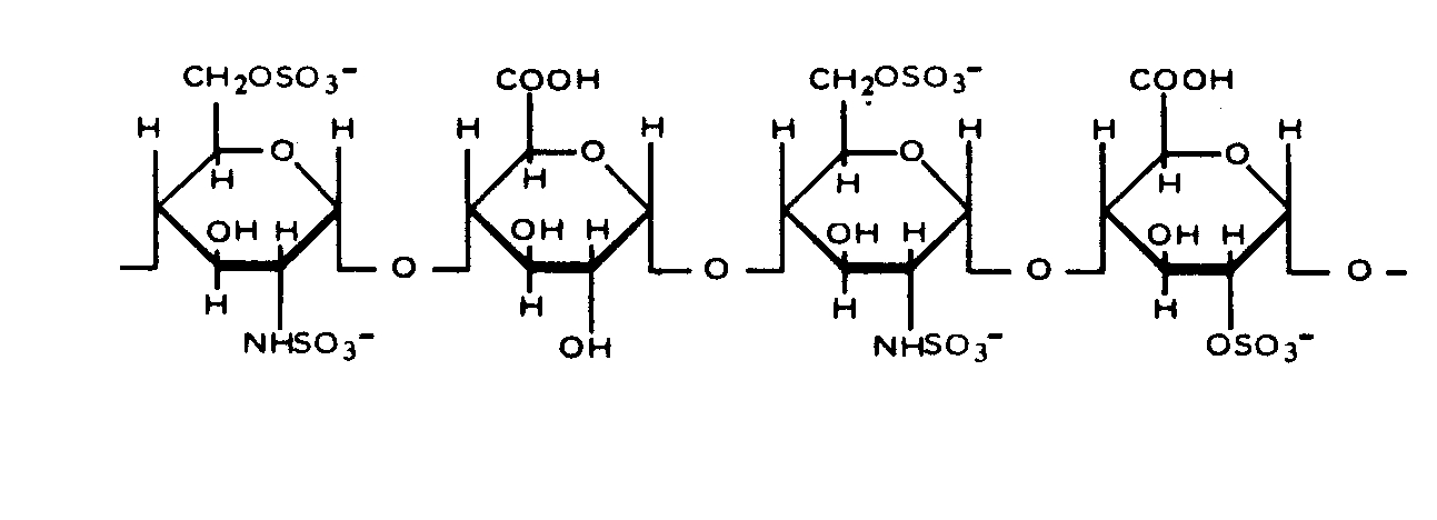
   Molecuulstructuur  

Merknamen in verschillende landen   Merknamen in verschillende landen     

Handelsnamen zijn slechts een indicatie; de samenstelling van hulpstoffen kan per land variëren afhankelijk van de fabrikant

Arapin Chili
Ateroclar Italië
Clarisco Italië
Epsoclar Italië
Hepaflex Finland, Noorwegen
Hepamax Chili, Colombia, Ecuador
Heparin Canada, Denemarken, Finland, Griekenland, Groot Britannië, Hongarije, Joegoslavië, Nederland, Noorwegen, Oostenrijk, russisch, Thailand, Turkije, USA, Zuid-Afrika, Zweden, Zwitserland
Heparine België, Frankrijk
Heparinised Australië
Heparstad Duitsland
Liquemin Turkije, Zwitserland
Liquemine Brazilië
Monoparin Saudi-Arabië
Normoparin Italië
Nuparin Ecuador
Pharepa Italië
Riveparin Argentinië
Sobrius Argentinië, Ecuador
Thrombophob Duitsland
Stabiliteit in oplossing   injecteerbaar geneesmiddel   Stabiliteit in oplossing : Heparin sodium     
Verpakking Oplosmiddel Concentratie Temperatuur Bewaring Duur van de stabiliteit Literatuur
Glas Natriumchloride 0,9% 1 UI/ml 25°C Licht
365 Dag
4166
Biologische analyse

Polyvinylchloride (PVC) Natriumchloride 0,9% 1 UI/ml 20°C-25°C Niet gespecificeerd
365 Dag
1291
Biologische analyse

Polyvinylchloride (PVC) Glucose 5% 1 UI/ml 20°C-25°C Niet gespecificeerd
365 Dag
1291
Biologische analyse

Polyvinylchloride (PVC) Glucose 5% 10 UI/ml 20°C-25°C Niet gespecificeerd
365 Dag
1291
Biologische analyse

Polyethyleen (PE) Natriumchloride 0,9% 7 UI/ml 22°C Buiten invloed van licht
24 Uur
1067
Bewijsniveau C

Polyethyleen (PE) Natriumchloride 0,9% 7 UI/ml 4°C Buiten invloed van licht
24 Uur
1067
Bewijsniveau C

Polyethyleen (PE) Glucose 5% 7 UI/ml 22°C Buiten invloed van licht
24 Uur
1067
Bewijsniveau C

Polyethyleen (PE) Glucose 5% 7 UI/ml 4°C Buiten invloed van licht
24 Uur
1067
Bewijsniveau C

injectiespuit polypropyleen Natriumchloride 0,9% 1 UI/ml 20°C Niet gespecificeerd
365 Dag
1234
Biologische analyse

injectiespuit polypropyleen Natriumchloride 0,9% 1 UI/ml 37°C Niet gespecificeerd
365 Dag
1234
Biologische analyse

injectiespuit polypropyleen Natriumchloride 0,9% 100 UI/ml 4°C Buiten invloed van licht
14 Dag
895
Biologische analyse

injectiespuit polypropyleen Natriumchloride 0,9% 500 UI/ml 25°C Buiten invloed van licht
21 Dag
1183
Biologische analyse

injectiespuit polypropyleen Natriumchloride 0,9% 500 UI/ml 4°C Buiten invloed van licht
21 Dag
1183
Biologische analyse

injectiespuit polypropyleen Geen 1000 & 40000 UI/ml 30°C Niet gespecificeerd
30 Dag
874
Bewijsniveau B

Niet gespecificeerd Natriumchloride 0,9% 5 UI/ml 4°C Buiten invloed van licht
28 Dag
791
Biologische analyse


  Mentions Légales