Última actualización :
18/03/2026
Anticoagulante   Heparin sodium  
Inyectables
Estabilidad en solucion Estabilidad en mezcla Factores que influyen sobre la estabilidad Compatibilidades método de inyección Bibliografía pdf
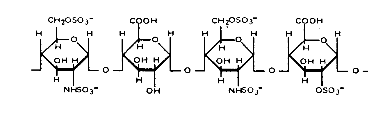
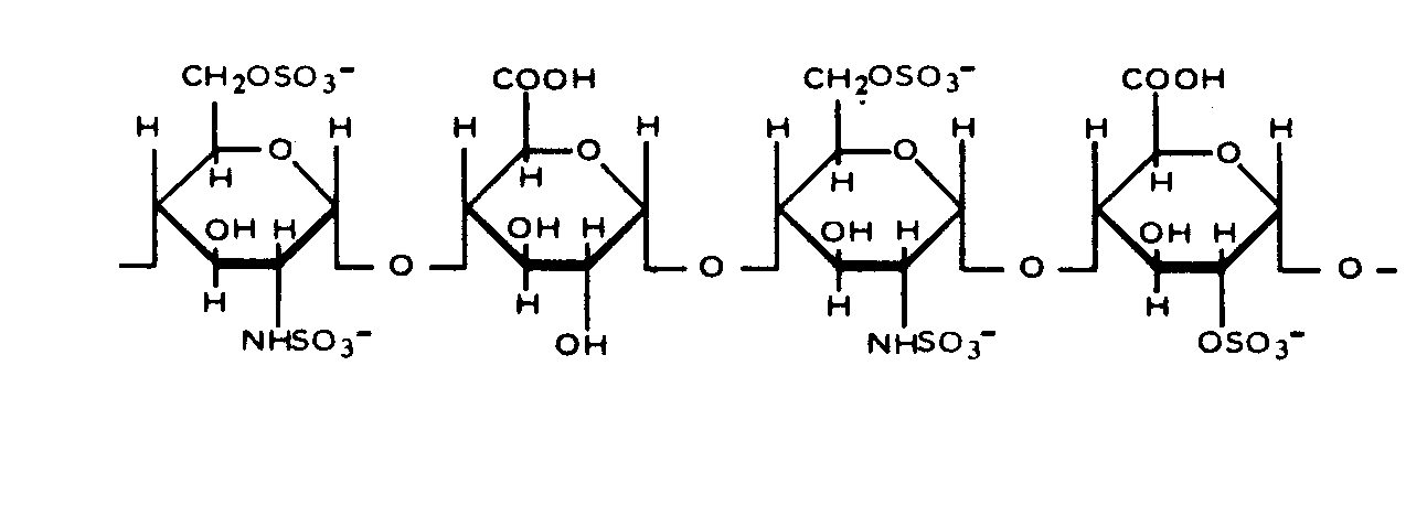
   Estructura química  

Nombre comercial   Nombre comercial     

Los nombres comerciales son orientativos y los excipientes de la formulación pueden ser distintos dependiendo del país y del laboratorio fabricante.

Arapin Chile
Ateroclar Italia
Clarisco Italia
Epsoclar Italia
Hepaflex Finlandia, Noruega
Hepamax Chile, Colombia, Ecuador
Heparin Austria, Canadá, Dinamarca, Estados Unidos de América, Finlandia, Gran Bretaña, Grecia, Hungría, Noruega, Países Bajos, ruso, Sudafrica, Suecia, Suiza, Tailandia, Turquía, Yugoslavia
Heparine Bélgica, Francia
Heparinised Australia
Heparstad Alemania
Liquemin Suiza, Turquía
Liquemine Brasil
Monoparin Arabia Saudita
Normoparin Italia
Nuparin Ecuador
Pharepa Italia
Riveparin Argentina
Sobrius Argentina, Ecuador
Thrombophob Alemania

Factores que influyen sobre la estabilidad   Inyectables   Factores que influyen sobre la estabilidad : Heparin sodium        

  Mentions Légales