Ostatnia aktualizacja :
18/03/2026
Antykoagulant   Heparin sodium  
Injekcje
Trwałość roztworów Trwałość w mieszaninie Czynnik wpływający na trwałość Zgodność Sposób podania Bibliografia pdf
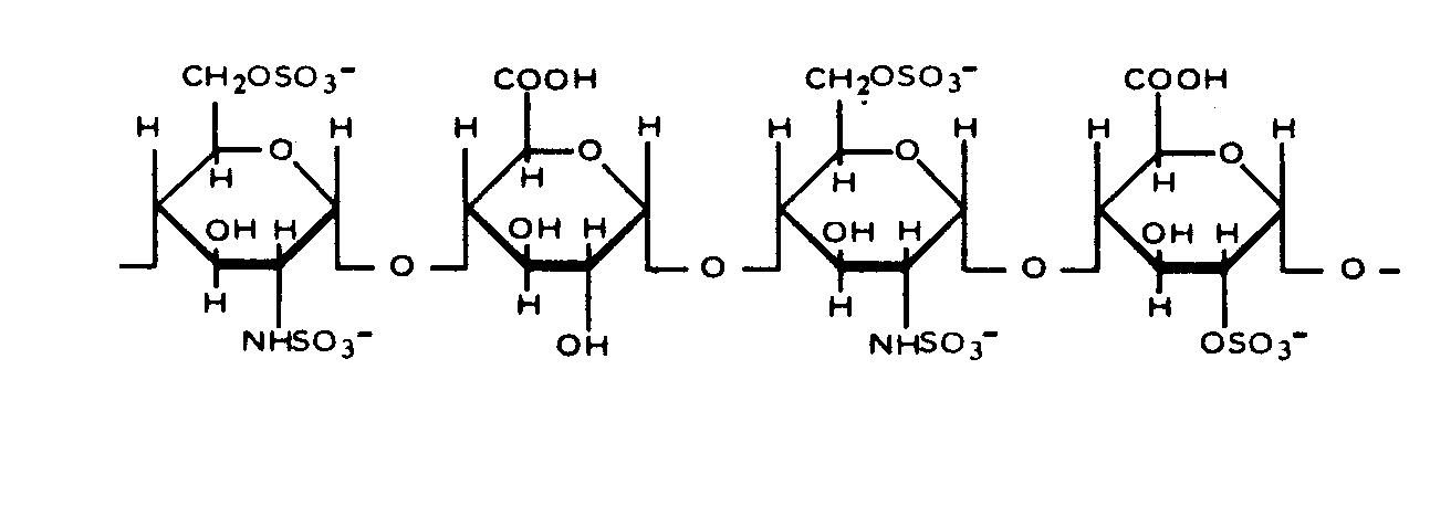
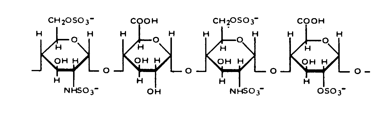
   Struktura chemiczna  

Nazwa handlowa   Nazwa handlowa     

Trade names are indicative and excipients composition can be different depending on the country and manufacturers

Arapin Chile
Ateroclar Włochy
Clarisco Włochy
Epsoclar Włochy
Hepaflex Finlandia, Norwegia
Hepamax Chile, Ekwador, KolumbiaKolumbia
Heparin Afryka Południowa, Austria, Dania, Finlandia, Grecja, Holandia, Jugosławia, Kanada, Norwegia, rosyjski, Stany Zjednoczone Ameryki, Szwajcaria, Szwecja, Tajlandia, Turcja, Węgry, Wielka Brytania
Heparine Belgia, Francja
Heparinised Australia
Heparstad Niemcy
Liquemin Szwajcaria, Turcja
Liquemine Brazylia
Monoparin Arabia Saudyjska
Normoparin Włochy
Nuparin Ekwador
Pharepa Włochy
Riveparin Argentyna
Sobrius Argentyna, Ekwador
Thrombophob Niemcy

Czynnik wpływający na trwałość   Injekcje   Czynnik wpływający na trwałość : Heparin sodium        

  Mentions Légales