Dernière mise à jour :
18/03/2026
Anticoagulant   Heparin sodium  
injectable
Stabilité des solutions Stabilité en mélange Facteur influençant la stabilité Compatibilités Voie d’administration Bibliographie pdf
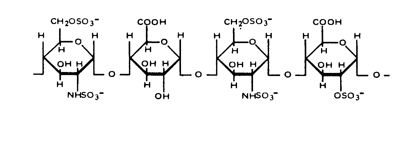
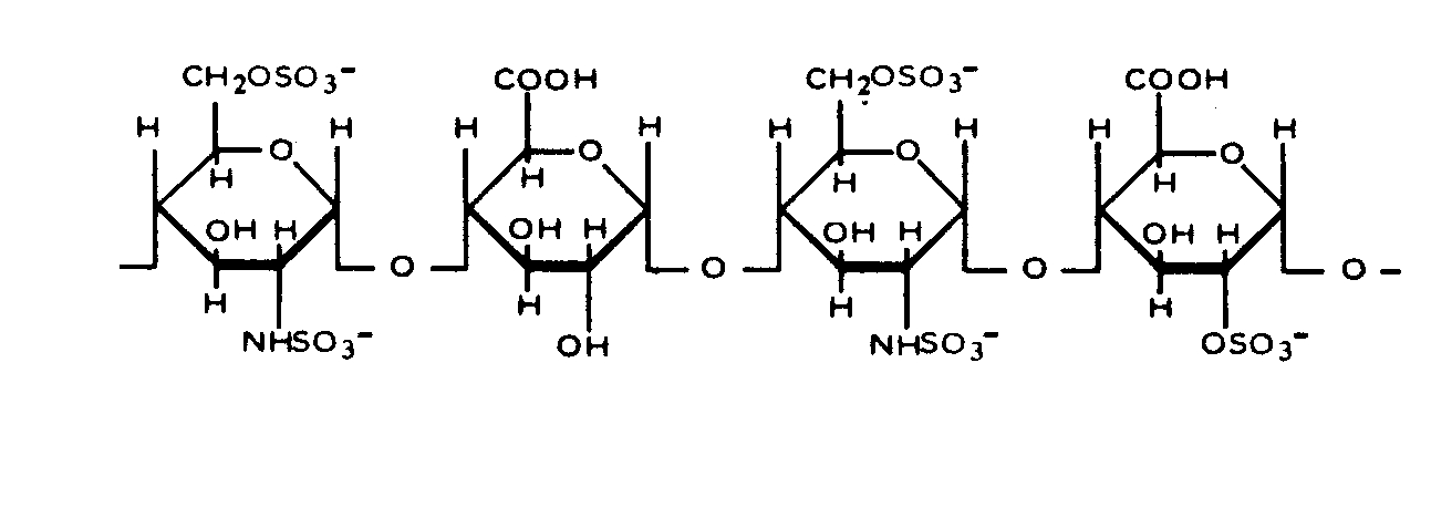
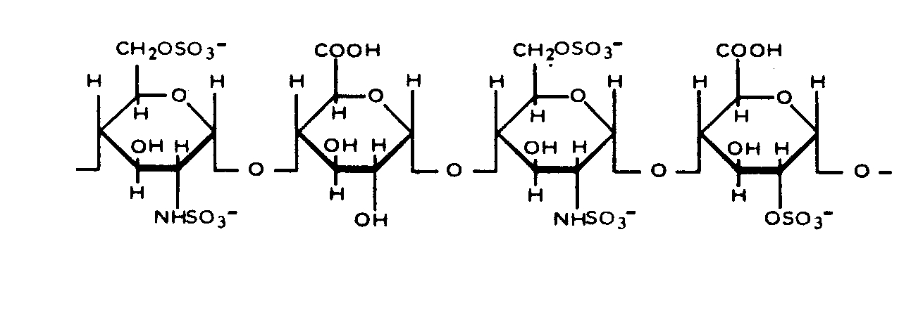
   Structure chimique  

Noms commerciaux   Noms commerciaux     

Les noms commerciaux sont donnés à titre indicatif et la composition en excipients peut être différente selon les pays et selon les laboratoires

Arapin Chili
Ateroclar Italie
Clarisco Italie
Epsoclar Italie
Hepaflex Finlande, Norvège
Hepamax Chili, Colombie, Equateur
Heparin Afrique du sud, Autriche, Canada, Danemark, Etats Unis d’Amérique, Finlande, Grande Bretagne, Grèce, Hongrie, Norvège, Pays bas, Russie, Serbie, Suède, Suisse, Thaïlande, Turquie
Heparine Belgique, France
Heparinised Australie
Heparstad Allemagne
Liquemin Suisse, Turquie
Liquemine Brésil
Monoparin Arabie Saoudite
Normoparin Italie
Nuparin Equateur
Pharepa Italie
Riveparin Argentine
Sobrius Argentine, Equateur
Thrombophob Allemagne

Facteur influençant la stabilité   injectable   Facteur influençant la stabilité : Heparin sodium        

  Mentions Légales