Seneste opdatering :
18/03/2026
Antikoagulant   Heparin sodium  
Injektion
Stabilitet i (vandige) opløsninger Stabilitet i blandinger Faktorer der påvirker stabiliteten Kompatibilitet Administrationsvej Bibliografi pdf
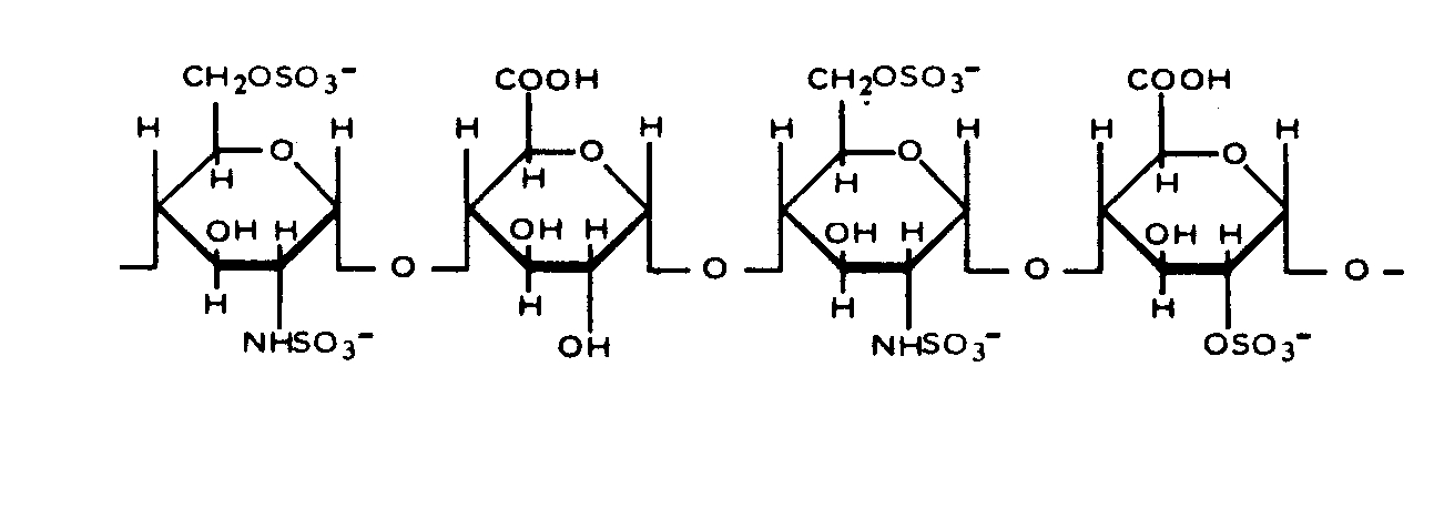
   Kemisk struktur  

Handelsnavn   Handelsnavn     

Handel navne er vejledende og hjælpestoffer sammensætning kan være forskellig afhængigt af landet og laboratorier

Arapin Chile
Ateroclar Italien
Clarisco Italien
Epsoclar Italien
Hepaflex Finland, Norge
Hepamax Chile, Colombia, Ecuador
Heparin Canada, Danmark, Finland, Grækenland, Holland, Jugoslavien, Norge, russisk, Schweiz, Storbritanien, Sverige, Sydafrika, Thailand, Tyrkiet, Ungarn, USA, Østrig
Heparine Belgien, Frankrig
Heparinised Australien
Heparstad Tyskland
Liquemin Schweiz, Tyrkiet
Liquemine Brasilien
Monoparin Saudi-Arabien
Normoparin Italien
Nuparin Ecuador
Pharepa Italien
Riveparin Argentina
Sobrius Argentina, Ecuador
Thrombophob Tyskland

Faktorer der påvirker stabiliteten   Injektion   Faktorer der påvirker stabiliteten : Heparin sodium        

  Mentions Légales