|
|
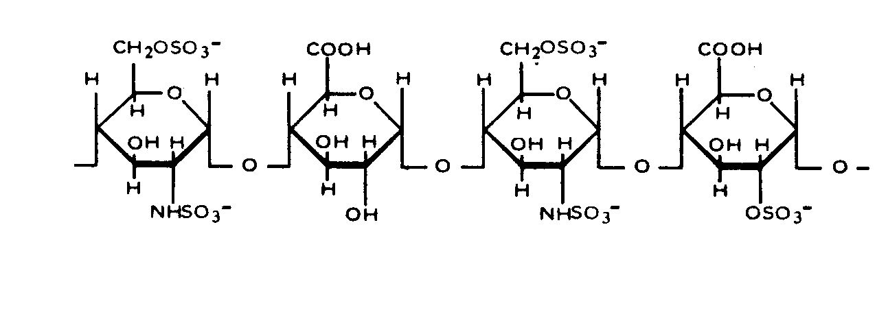
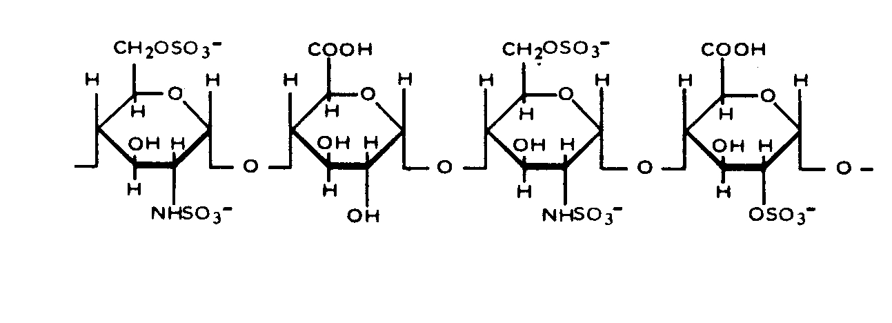
Nome commerciale |
|
|
Trade names are indicative and excipients composition can be different depending on the country and manufacturers
|
|
Arapin |
Chile |
|
Ateroclar |
Italia |
|
Clarisco |
Italia |
|
Epsoclar |
Italia |
|
Hepaflex |
Finlandia, Norvegia |
|
Hepamax |
Chile, Colombia, Ecuador |
|
Heparin |
Africa del Sud, Austria, Canada, Danimarca, Finlandia, Gran Bretagna, Grecia, Iugoslavia, Norvegia, Paesi Bassi, russo, Stati Uniti d’America, Svezia, Svizzera, Tailandia, Turchia, Ungheria |
|
Heparine |
Belgio, Francia |
|
Heparinised |
Australia |
|
Heparstad |
Germania |
|
Liquemin |
Svizzera, Turchia |
|
Liquemine |
Brasile |
|
Monoparin |
Arabia Saudita |
|
Normoparin |
Italia |
|
Nuparin |
Ecuador |
|
Pharepa |
Italia |
|
Riveparin |
Argentina |
|
Sobrius |
Argentina, Ecuador |
|
Thrombophob |
Germania |
|
|