Poslední aktualizace :
18/03/2026
Antikoaguliantas   Heparin sodium  
Įpurškimas
Tirpalų stabilumas Mišinių stabilumas Stabilumą lemiantys veiksniai Suderinamumas Leidimo būdai Bibliografija pdf
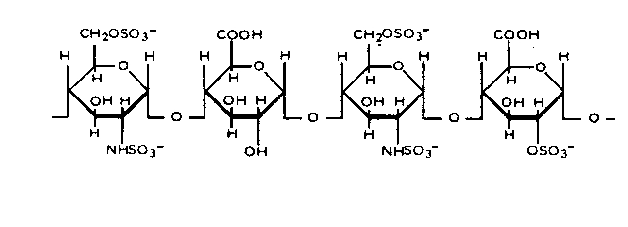
   Cheminė sandara  

Prekinis pavadinimas   Prekinis pavadinimas     

Trade names are indicative and excipients composition can be different depending on the country and manufacturers

Arapin Čilė
Ateroclar Italija
Clarisco Italija
Epsoclar Italija
Hepaflex Norvegija, Suomija
Hepamax Čilė, Ekvadoras, Kolumbija
Heparin Austrija, Danija, Didžioji Britanija, Graikija, Jugoslavija, Jungtinės Amerikos Valstijos, Kanada, Norvegija, Olandija, Pietų Afrikos Respublika, rusų, Suomija, Švedija, Šveicarija, Tailandas, Turkija, Vengrija
Heparine Belgija, Prancūzija
Heparinised Australija
Heparstad Vokietija
Liquemin Šveicarija, Turkija
Liquemine Brazilija
Monoparin Saudo Arabija
Normoparin Italija
Nuparin Ekvadoras
Pharepa Italija
Riveparin Argentina
Sobrius Argentina, Ekvadoras
Thrombophob Vokietija

Stabilumą lemiantys veiksniai   Įpurškimas   Stabilumą lemiantys veiksniai : Heparin sodium        

  Mentions Légales