Última actualização :
17/12/2025
antibiótico   Gentamicin sulfate  
injetável
solução oftálmica
Estabilidade em soluções simples Estabilidade em misturas Factores que afectam a sua estabilidade Compatibilidade Método de administração Bibliografía pdf
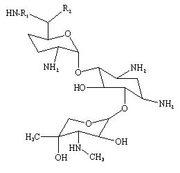
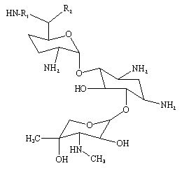
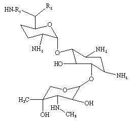
   estrutura química  

Nomes comerciais nos diversos países   Nomes comerciais nos diversos países     

OS NOMES COMERCIAIS SÃO INDICATIVOS E OS EXCIPIENTES DA FORMULAÇÃO PODEM SER DIFERENTES CONFORME O PAÍS E FABRICANTE.

Azupel Peru
Cidomycin Egipto, Gran-bretanha, Tunísia
Dabroson Grècia
Epigent Egipto
Garalone Portugal
Garamicina Brasil, Colômbia, Equator, México
Garamycin Croácia, Dinamarca, Egipto, Emirados Árabes Unidos, Grècia, Índia, Noruega, Países Baixos, Polonia, Suicia
Genmisin Turquia
Gensif Turquia
Gensumycin Finlandia, Noruega, Suècia
Genta-Gobens Espanha
Gentalline Marrocos
Gentamen Marrocos
Genticin Emirados Árabes Unidos, Gran-bretanha, Irlanda
Gentreks Turquia
Hexamycin Dinamarca
Plurisemina Argentina
Refobacin Alemanha, Austria, Colômbia, Egipto
Rupegen Argentina
Estabilidade em soluções simples   injetável   Estabilidade em soluções simples : Gentamicin sulfate     
Embalagem Solvente concentração temperatura conservação Duração da estabilidade Bibliografia
vidro cloreto de sódio 0,9% 10 mg/ml 4°C ao abrigo da luz
84 dia
1486
análise biológica

Cloreto de polivinilo cloreto de sódio 0,9% 1 mg/ml -20°C ao abrigo da luz
30 dia
573
análise biológica

Cloreto de polivinilo cloreto de sódio 0,9% 1 mg/ml 25°C luz
48 hora
434

Cloreto de polivinilo cloreto de sódio 0,9% 1 mg/ml 4°C ao abrigo da luz
48 hora
434

Cloreto de polivinilo cloreto de sódio 0,9% 1,2 mg/ml -20°C ao abrigo da luz
28 dia
565
Nível de evidência D

Cloreto de polivinilo Glucose 5% 1 mg/ml -20°C ao abrigo da luz
30 dia
573
análise biológica

Cloreto de polivinilo Glucose 5% 1 mg/ml 25°C luz
48 hora
434

dados conflitantes
Cloreto de polivinilo Glucose 5% 1 mg/ml 4°C ao abrigo da luz
48 hora
434

Cloreto de polivinilo Glucose 5% 1,2 mg/ml -20°C ao abrigo da luz
28 dia
565
Nível de evidência D

Cloreto de polivinilo Glucose 5% 1,6 mg/ml -20°C ao abrigo da luz
30 dia
576
análise biológica

Cloreto de polivinilo Extraneal® (Baxter) 0,02 mg/ml 25°C ao abrigo da luz
14 dia
3888
Nível de evidência D

Cloreto de polivinilo Extraneal® (Baxter) 0,02 mg/ml 37°C ao abrigo da luz
14 dia
3888
Nível de evidência D

Cloreto de polivinilo Extraneal® (Baxter) 0,02 mg/ml 4°C ao abrigo da luz
14 dia
3888
Nível de evidência D

Polietileno Agua para injectaveis 2,5 mg/ml 25°C Com ou sem luz
112 dia
3141
Nível de evidência B

Etil-vinil-acetato cloreto de sódio 0,9% 0,85 mg/ml 23°C ao abrigo da luz
7 dia
1704
Nível de evidência A+

Etil-vinil-acetato cloreto de sódio 0,9% 0,85 mg/ml 4°C ao abrigo da luz
30 dia
1704
Nível de evidência A+

seringa polipropylen cloreto de sódio 0,9% 30 mg/ml 22°C-23°C luz
48 hora
639
Nível de evidência D

Elastômero de poliisopreno cloreto de sódio 0,9% 0,5 & 5 mg/ml 25°C no especificado
24 hora
604
Dados estabilidade do fabricante

Elastômero de poliisopreno cloreto de sódio 0,9% 0,5 & 5 mg/ml 4°C ao abrigo da luz
10 dia
604
Dados estabilidade do fabricante

Elastômero de poliisopreno Glucose 5% 0,5 & 5 mg/ml 25°C no especificado
24 hora
604
Dados estabilidade do fabricante

dados conflitantes
Elastômero de poliisopreno Glucose 5% 0,5 & 5 mg/ml 4°C ao abrigo da luz
10 dia
604
Dados estabilidade do fabricante

no especificado Agua para injectaveis 2,5 mg/ml 37°C no especificado
96 hora
3952
Nível de evidência A


  Mentions Légales