Ostatnia aktualizacja :
18/03/2026
Antybiotyk   Gentamicin sulfate  
Injekcje
Krople oczne
Trwałość roztworów Trwałość w mieszaninie Czynnik wpływający na trwałość Zgodność Sposób podania Bibliografia pdf
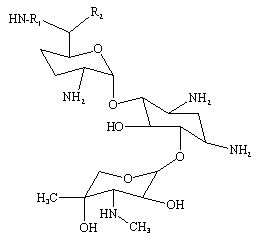
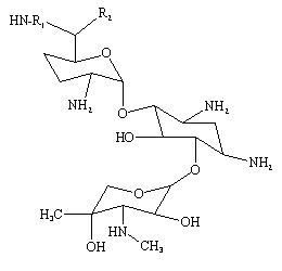
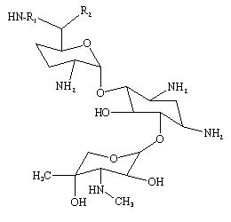
   Struktura chemiczna  

Nazwa handlowa   Nazwa handlowa     

Trade names are indicative and excipients composition can be different depending on the country and manufacturers

Azupel Peru
Cidomycin Egipt, Tunisie, Wielka Brytania
Dabroson Grecja
Epigent Egipt
Garalone Portugalia
Garamicina Brazylia, Ekwador, KolumbiaKolumbia, Meksyk
Garamycin Chorwacja, Dania, Egipt, Grecja, Holandia, Indie, Norwegia, Polska, Szwajcaria, Zjednoczone Emiraty Arabskie
Genmisin Turcja
Gensif Turcja
Gensumycin Finlandia, Norwegia, Szwecja
Genta-Gobens Hiszpania
Gentalline Maroko
Gentamen Maroko
Genticin Irlandia, Wielka Brytania, Zjednoczone Emiraty Arabskie
Gentreks Turcja
Hexamycin Dania
Plurisemina Argentyna
Refobacin Austria, Egipt, KolumbiaKolumbia, Niemcy
Rupegen Argentyna
Trwałość roztworów   Injekcje   Trwałość roztworów : Gentamicin sulfate     
Pojemnik Rozpuszczalnik Stężenie Temperatura Przechowywanie Czas trwania stabilności Bibliografia
Szkło Chlorek sodu 0,9% 10 mg/ml 4°C Chronić od światła
84 Dzień
1486
Analiza biologiczna

Polichlorek winylu Chlorek sodu 0,9% 1 mg/ml -20°C Chronić od światła
30 Dzień
573
Analiza biologiczna

Polichlorek winylu Chlorek sodu 0,9% 1 mg/ml 25°C światło
48 Godzina
434

Polichlorek winylu Chlorek sodu 0,9% 1 mg/ml 4°C Chronić od światła
48 Godzina
434

Polichlorek winylu Chlorek sodu 0,9% 1,2 mg/ml -20°C Chronić od światła
28 Dzień
565
Poziom wiarygodności D

Polichlorek winylu Glukoza 5% 1 mg/ml -20°C Chronić od światła
30 Dzień
573
Analiza biologiczna

Polichlorek winylu Glukoza 5% 1 mg/ml 25°C światło
48 Godzina
434

sprzeczne dane
Polichlorek winylu Glukoza 5% 1 mg/ml 4°C Chronić od światła
48 Godzina
434

Polichlorek winylu Glukoza 5% 1,2 mg/ml -20°C Chronić od światła
28 Dzień
565
Poziom wiarygodności D

Polichlorek winylu Glukoza 5% 1,6 mg/ml -20°C Chronić od światła
30 Dzień
576
Analiza biologiczna

Polichlorek winylu Extraneal® (Baxter) 0,02 mg/ml 25°C Chronić od światła
14 Dzień
3888
Poziom wiarygodności D

Polichlorek winylu Extraneal® (Baxter) 0,02 mg/ml 37°C Chronić od światła
14 Dzień
3888
Poziom wiarygodności D

Polichlorek winylu Extraneal® (Baxter) 0,02 mg/ml 4°C Chronić od światła
14 Dzień
3888
Poziom wiarygodności D

Polietylen Woda do wstrzyknięć 2,5 mg/ml 25°C Przy świetle lub w ciemności
112 Dzień
3141
Poziom wiarygodności B

Etylen/octan winylu Chlorek sodu 0,9% 0,85 mg/ml 23°C Chronić od światła
7 Dzień
1704
Poziom wiarygodności A+

Etylen/octan winylu Chlorek sodu 0,9% 0,85 mg/ml 4°C Chronić od światła
30 Dzień
1704
Poziom wiarygodności A+

Strzykawka Chlorek sodu 0,9% 30 mg/ml 22°C-23°C światło
48 Godzina
639
Poziom wiarygodności D

Elastomer poliizoprenowy Chlorek sodu 0,9% 0,5 & 5 mg/ml 25°C Nie wyszczególniony
24 Godzina
604
Dane stabilności producenta

Elastomer poliizoprenowy Chlorek sodu 0,9% 0,5 & 5 mg/ml 4°C Chronić od światła
10 Dzień
604
Dane stabilności producenta

Elastomer poliizoprenowy Glukoza 5% 0,5 & 5 mg/ml 25°C Nie wyszczególniony
24 Godzina
604
Dane stabilności producenta

sprzeczne dane
Elastomer poliizoprenowy Glukoza 5% 0,5 & 5 mg/ml 4°C Chronić od światła
10 Dzień
604
Dane stabilności producenta

Brak informacji Woda do wstrzyknięć 2,5 mg/ml 37°C Nie wyszczególniony
96 Godzina
3952
Poziom wiarygodności A


  Mentions Légales