Pēdējā atjaunošana :
17/12/2025
Antibiotika   Gentamicin sulfate  
Injekcija
Acu pilieni
Šķīduma stabilitāte Maisījuma stabilitāte Stabilitāti ietekmējoši faktori Saderība Levadīšanas veids Literatūras saraksts pdf
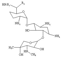
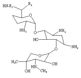
   Ķīmiskā uzbūve   

Oriģinālais nosaukums   Oriģinālais nosaukums     

Tirdzniecības nosaukumi ir apzīmējoši un palīgvielas var atšķirties dažādām valstīm un laboratorijām

Azupel Peru
Cidomycin Ēģipte, Lielbritānija, Tunisija
Dabroson Grieķija
Epigent Ēģipte
Garalone Portugāle
Garamicina Brazīlija, Ekvadora, Kolumbija, Meksika
Garamycin Apvienotie Arābu Emirāti, Dānija, Ēģipte, Grieķija, Holande, Horvātija, Indija, Norvēģija, Polija, Šveice
Genmisin Turcija
Gensif Turcija
Gensumycin Norvēģija, Somija, Zviedrija
Genta-Gobens Spānija
Gentalline Maroka
Gentamen Maroka
Genticin Apvienotie Arābu Emirāti, Īrija, Lielbritānija
Gentreks Turcija
Hexamycin Dānija
Plurisemina Argentīna
Refobacin Austrija, Ēģipte, Kolumbija, Vācija
Rupegen Argentīna
Šķīduma stabilitāte   Injekcija   Šķīduma stabilitāte : Gentamicin sulfate     
Iepakojums Šķīdinātājs Koncentrācija Temperatūra Glabāšana Stabilitātes ilgums Literatūras saraksts
Stikls Nātrija hlorīds 0.9% 10 mg/ml 4°C Aizsargāt no gaismas
84 Diena
1486
Bioloģiskā metode

Polivinilhlorīds Nātrija hlorīds 0.9% 1 mg/ml -20°C Aizsargāt no gaismas
30 Diena
573
Bioloģiskā metode

Polivinilhlorīds Nātrija hlorīds 0.9% 1 mg/ml 25°C Gaisma
48 Stunda
434

Polivinilhlorīds Nātrija hlorīds 0.9% 1 mg/ml 4°C Aizsargāt no gaismas
48 Stunda
434

Polivinilhlorīds Nātrija hlorīds 0.9% 1,2 mg/ml -20°C Aizsargāt no gaismas
28 Diena
565
Pierādījumu līmenis D

Polivinilhlorīds 5% glikoze 1 mg/ml -20°C Aizsargāt no gaismas
30 Diena
573
Bioloģiskā metode

Polivinilhlorīds 5% glikoze 1 mg/ml 25°C Gaisma
48 Stunda
434

pretrunīgi dati
Polivinilhlorīds 5% glikoze 1 mg/ml 4°C Aizsargāt no gaismas
48 Stunda
434

Polivinilhlorīds 5% glikoze 1,2 mg/ml -20°C Aizsargāt no gaismas
28 Diena
565
Pierādījumu līmenis D

Polivinilhlorīds 5% glikoze 1,6 mg/ml -20°C Aizsargāt no gaismas
30 Diena
576
Bioloģiskā metode

Polivinilhlorīds Extraneal® (Baxter) 0,02 mg/ml 25°C Aizsargāt no gaismas
14 Diena
3888
Pierādījumu līmenis D

Polivinilhlorīds Extraneal® (Baxter) 0,02 mg/ml 37°C Aizsargāt no gaismas
14 Diena
3888
Pierādījumu līmenis D

Polivinilhlorīds Extraneal® (Baxter) 0,02 mg/ml 4°C Aizsargāt no gaismas
14 Diena
3888
Pierādījumu līmenis D

Polietilēns Ūdens injekcijām 2,5 mg/ml 25°C Ar vai bez gaismas
112 Diena
3141
Pierādījumu līmenis B

Etilvinilacetāts Nātrija hlorīds 0.9% 0,85 mg/ml 23°C Aizsargāt no gaismas
7 Diena
1704
Pierādījumu līmenis A+

Etilvinilacetāts Nātrija hlorīds 0.9% 0,85 mg/ml 4°C Aizsargāt no gaismas
30 Diena
1704
Pierādījumu līmenis A+

Šļirce polipropilēna Nātrija hlorīds 0.9% 30 mg/ml 22°C-23°C Gaisma
48 Stunda
639
Pierādījumu līmenis D

Poliizoprēna elastomērs Nātrija hlorīds 0.9% 0,5 & 5 mg/ml 25°C Nav specifisks
24 Stunda
604
Ražotāja stabilitātes dati

Poliizoprēna elastomērs Nātrija hlorīds 0.9% 0,5 & 5 mg/ml 4°C Aizsargāt no gaismas
10 Diena
604
Ražotāja stabilitātes dati

Poliizoprēna elastomērs 5% glikoze 0,5 & 5 mg/ml 25°C Nav specifisks
24 Stunda
604
Ražotāja stabilitātes dati

pretrunīgi dati
Poliizoprēna elastomērs 5% glikoze 0,5 & 5 mg/ml 4°C Aizsargāt no gaismas
10 Diena
604
Ražotāja stabilitātes dati

Nespecifisks Ūdens injekcijām 2,5 mg/ml 37°C Nav specifisks
96 Stunda
3952
Pierādījumu līmenis A


  Mentions Légales