Τελευταία ενημέρωση :
17/12/2025
Αντιβιοτικό   Gentamicin sulfate  
Ενέσιμο
Οφθαλμικές σταγόνες
Σταθερότητα διαλυμάτων Σταθερότητα σε μίγματα Παράγοντας που επηρεάζει τη σταθερότητα Συμβατότητες Τρόπος χορήγησης Βιβλιογραφία pdf
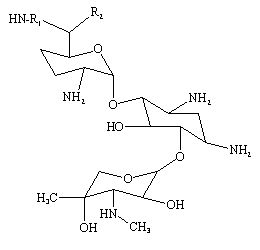
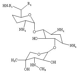
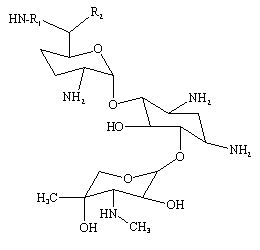
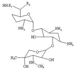
   χημική δομή  

Εμπορική ονομασία   Εμπορική ονομασία     

Οι εμπορικές ονομασίες είναι ενδεικτικές και η σύνθεση των εκδόχων μπορεί να διαφέρει ανάλογα με τη χώρα και τα εργαστήρια

Azupel Περού
Cidomycin Αίγυπτος, Μεγάλη Βρετανία, Τυνησία
Dabroson Ελλάδα
Epigent Αίγυπτος
Garalone Πορτογαλία
Garamicina Βραζιλία, Εκουαδόρ, Κολομβία, Μεξικό
Garamycin Yhdistyneet arabiemiirikunnat, Αίγυπτος, Δανία, Ελβετία, Ελλάδα, Ινδία, Κροατία, Νορβηγία, Ολλανδία, Πολωνία
Genmisin Τουρκία
Gensif Τουρκία
Gensumycin Νορβηγία, Σουηδία, Φινλανδία
Genta-Gobens Ισπανία
Gentalline Μαρόκο
Gentamen Μαρόκο
Genticin Yhdistyneet arabiemiirikunnat, Ιρλανδία, Μεγάλη Βρετανία
Gentreks Τουρκία
Hexamycin Δανία
Plurisemina Αργεντινή
Refobacin Αίγυπτος, Αυστρία, Γερμανία, Κολομβία
Rupegen Αργεντινή
Σταθερότητα διαλυμάτων   Ενέσιμο   Σταθερότητα διαλυμάτων : Gentamicin sulfate     
Υποδοχέας Διαλυτικό Συγκέντρωση Θερμοκρασία Αποθήκευση Διάρκεια σταθερότητας Βιβλιογραφία
Ύαλος Χλωριούχο νάτριο 0,9% 10 mg/ml 4°C Προστατεύετε από το φως
84 Ημέρα
1486
Βιολογική ανάλυση

Πολυβινυλοχλωρίδιο Χλωριούχο νάτριο 0,9% 1 mg/ml -20°C Προστατεύετε από το φως
30 Ημέρα
573
Βιολογική ανάλυση

Πολυβινυλοχλωρίδιο Χλωριούχο νάτριο 0,9% 1 mg/ml 25°C Φως
48 Ώρα
434

Πολυβινυλοχλωρίδιο Χλωριούχο νάτριο 0,9% 1 mg/ml 4°C Προστατεύετε από το φως
48 Ώρα
434

Πολυβινυλοχλωρίδιο Χλωριούχο νάτριο 0,9% 1,2 mg/ml -20°C Προστατεύετε από το φως
28 Ημέρα
565
Επίπεδο των αποδεικτικών στοιχείων D

Πολυβινυλοχλωρίδιο Γλυκόζη 5% 1 mg/ml -20°C Προστατεύετε από το φως
30 Ημέρα
573
Βιολογική ανάλυση

Πολυβινυλοχλωρίδιο Γλυκόζη 5% 1 mg/ml 25°C Φως
48 Ώρα
434

αντικρουόμενα δεδομένα
Πολυβινυλοχλωρίδιο Γλυκόζη 5% 1 mg/ml 4°C Προστατεύετε από το φως
48 Ώρα
434

Πολυβινυλοχλωρίδιο Γλυκόζη 5% 1,2 mg/ml -20°C Προστατεύετε από το φως
28 Ημέρα
565
Επίπεδο των αποδεικτικών στοιχείων D

Πολυβινυλοχλωρίδιο Γλυκόζη 5% 1,6 mg/ml -20°C Προστατεύετε από το φως
30 Ημέρα
576
Βιολογική ανάλυση

Πολυβινυλοχλωρίδιο Extraneal® (Baxter) 0,02 mg/ml 25°C Προστατεύετε από το φως
14 Ημέρα
3888
Επίπεδο των αποδεικτικών στοιχείων D

Πολυβινυλοχλωρίδιο Extraneal® (Baxter) 0,02 mg/ml 37°C Προστατεύετε από το φως
14 Ημέρα
3888
Επίπεδο των αποδεικτικών στοιχείων D

Πολυβινυλοχλωρίδιο Extraneal® (Baxter) 0,02 mg/ml 4°C Προστατεύετε από το φως
14 Ημέρα
3888
Επίπεδο των αποδεικτικών στοιχείων D

Πολυαιθυλένιο Ενέσιμο ύδωρ 2,5 mg/ml 25°C Με ή χωρίς φως
112 Ημέρα
3141
Επίπεδο των αποδεικτικών στοιχείων B

Συμπολυμερές του αιθυλενίου και του οξικ Χλωριούχο νάτριο 0,9% 0,85 mg/ml 23°C Προστατεύετε από το φως
7 Ημέρα
1704
Επίπεδο των αποδεικτικών στοιχείων A+

Συμπολυμερές του αιθυλενίου και του οξικ Χλωριούχο νάτριο 0,9% 0,85 mg/ml 4°C Προστατεύετε από το φως
30 Ημέρα
1704
Επίπεδο των αποδεικτικών στοιχείων A+

σύριγγα πολυπροπυλένιο Χλωριούχο νάτριο 0,9% 30 mg/ml 22°C-23°C Φως
48 Ώρα
639
Επίπεδο των αποδεικτικών στοιχείων D

Ελαστομερές πολυισοπρένιο Χλωριούχο νάτριο 0,9% 0,5 & 5 mg/ml 25°C Απροσδιόριστο
24 Ώρα
604
Δεδομένα σταθερότητας του κατασκευαστή/ών

Ελαστομερές πολυισοπρένιο Χλωριούχο νάτριο 0,9% 0,5 & 5 mg/ml 4°C Προστατεύετε από το φως
10 Ημέρα
604
Δεδομένα σταθερότητας του κατασκευαστή/ών

Ελαστομερές πολυισοπρένιο Γλυκόζη 5% 0,5 & 5 mg/ml 25°C Απροσδιόριστο
24 Ώρα
604
Δεδομένα σταθερότητας του κατασκευαστή/ών

αντικρουόμενα δεδομένα
Ελαστομερές πολυισοπρένιο Γλυκόζη 5% 0,5 & 5 mg/ml 4°C Προστατεύετε από το φως
10 Ημέρα
604
Δεδομένα σταθερότητας του κατασκευαστή/ών

Απροσδιόριστο Ενέσιμο ύδωρ 2,5 mg/ml 37°C Απροσδιόριστο
96 Ώρα
3952
Επίπεδο των αποδεικτικών στοιχείων A


  Mentions Légales