Viimeisin päivitys :
17/12/2025
Antibiootit   Gentamicin sulfate  
Injektioneste
Silmätipat
Stabilius liuoksessa Stabilius seoksissa Tekijät, jotka vaikuttavat stabiliuteen Yhteensopivuus Antotapa Viitteet pdf
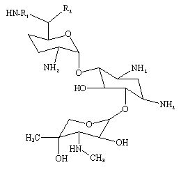
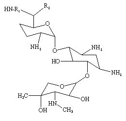
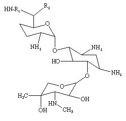
   Kemiallinen rakenne  

Kauppanimi   Kauppanimi     

Trade names are indicative and excipients composition can be different depending on the country and manufacturers

Azupel Marokko
Cidomycin Egypti, Iso-Britannia, Tunisia
Dabroson Kreikka
Epigent Egypti
Garalone Portugali
Garamicina Brasilia, Ecuador, Kolumbia, Meksiko
Garamycin Egypti, Hollanti, Intia, Kreikka, Kroatia, Norja, Puola, Sveitsi, Tanska, Yhdistyneet arabiemiirikunnat
Genmisin Turkki
Gensif Turkki
Gensumycin Norja, Ruotsi, Suomi
Genta-Gobens Espanja
Gentalline Marokko
Gentamen Marokko
Genticin Irlanti, Iso-Britannia, Yhdistyneet arabiemiirikunnat
Gentreks Turkki
Hexamycin Tanska
Plurisemina Argentiina
Refobacin Egypti, Itävalta, Kolumbia, Saksa
Rupegen Argentiina
Stabilius liuoksessa   Injektioneste   Stabilius liuoksessa : Gentamicin sulfate     
Astia Liuotin Konsentraatio Lämpötila Säilytys Vakauden kesto Viitteet
Lasi Natriumkloridi 0,9% 10 mg/ml 4°C Suojattava valolta
84 Päivä
1486
Biologinen menetelmä

Polyvinyylikloridi Natriumkloridi 0,9% 1 mg/ml -20°C Suojattava valolta
30 Päivä
573
Biologinen menetelmä

Polyvinyylikloridi Natriumkloridi 0,9% 1 mg/ml 25°C Valo
48 tunti
434

Polyvinyylikloridi Natriumkloridi 0,9% 1 mg/ml 4°C Suojattava valolta
48 tunti
434

Polyvinyylikloridi Natriumkloridi 0,9% 1,2 mg/ml -20°C Suojattava valolta
28 Päivä
565
Näytön laajuus D

Polyvinyylikloridi Glukoosi 5% 1 mg/ml -20°C Suojattava valolta
30 Päivä
573
Biologinen menetelmä

Polyvinyylikloridi Glukoosi 5% 1 mg/ml 25°C Valo
48 tunti
434

ristiriitaisia tietoja
Polyvinyylikloridi Glukoosi 5% 1 mg/ml 4°C Suojattava valolta
48 tunti
434

Polyvinyylikloridi Glukoosi 5% 1,2 mg/ml -20°C Suojattava valolta
28 Päivä
565
Näytön laajuus D

Polyvinyylikloridi Glukoosi 5% 1,6 mg/ml -20°C Suojattava valolta
30 Päivä
576
Biologinen menetelmä

Polyvinyylikloridi Extraneal® (Baxter) 0,02 mg/ml 25°C Suojattava valolta
14 Päivä
3888
Näytön laajuus D

Polyvinyylikloridi Extraneal® (Baxter) 0,02 mg/ml 37°C Suojattava valolta
14 Päivä
3888
Näytön laajuus D

Polyvinyylikloridi Extraneal® (Baxter) 0,02 mg/ml 4°C Suojattava valolta
14 Päivä
3888
Näytön laajuus D

Polyetyleeni Injektionesteisiin käytettävä vesi 2,5 mg/ml 25°C Valossa tai suojassa valolta
112 Päivä
3141
Näytön laajuus B

Etyleenivinyyliasetaatti Natriumkloridi 0,9% 0,85 mg/ml 23°C Suojattava valolta
7 Päivä
1704
Näytön laajuus A+

Etyleenivinyyliasetaatti Natriumkloridi 0,9% 0,85 mg/ml 4°C Suojattava valolta
30 Päivä
1704
Näytön laajuus A+

Ruisku  polypropeeni Natriumkloridi 0,9% 30 mg/ml 22°C-23°C Valo
48 tunti
639
Näytön laajuus D

Polyisopreeni elastomeeri Natriumkloridi 0,9% 0,5 & 5 mg/ml 25°C Ei määritetty
24 tunti
604
Valmistajan antamat stabiiliustiedot

Polyisopreeni elastomeeri Natriumkloridi 0,9% 0,5 & 5 mg/ml 4°C Suojattava valolta
10 Päivä
604
Valmistajan antamat stabiiliustiedot

Polyisopreeni elastomeeri Glukoosi 5% 0,5 & 5 mg/ml 25°C Ei määritetty
24 tunti
604
Valmistajan antamat stabiiliustiedot

ristiriitaisia tietoja
Polyisopreeni elastomeeri Glukoosi 5% 0,5 & 5 mg/ml 4°C Suojattava valolta
10 Päivä
604
Valmistajan antamat stabiiliustiedot

Ei määritetty Injektionesteisiin käytettävä vesi 2,5 mg/ml 37°C Ei määritetty
96 tunti
3952
Näytön laajuus A


  Mentions Légales