Siste oppdatering :
17/12/2025
Antibiotika   Gentamicin sulfate  
Injeksjon
Øyedråper
Oppløsningsstabilitet Stabilitet i blandinger Faktorer som påvirker stabiliteten Kompatibilitet Administrasjonsmåte Referanser pdf
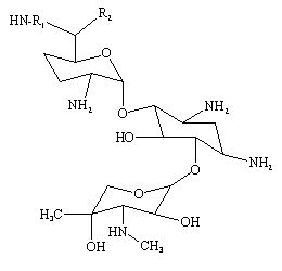
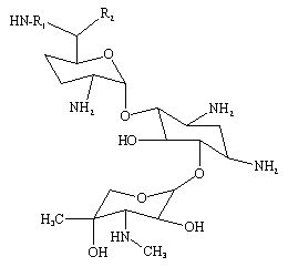
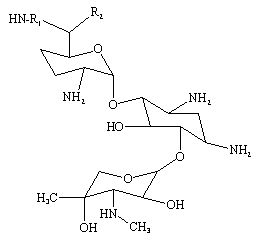
   Kjemisk struktur  

Handelsnavn   Handelsnavn     

Handelsnavn er veiledende og sammensetning av hjelpestoffer kan være forskjellig avhengig av land og produsent

Azupel Peru
Cidomycin Egypt, Storbritannia, Tunisia
Dabroson Hellas
Epigent Egypt
Garalone Portugal
Garamicina Brasil, Colombia, Ecuador, Mexico
Garamycin Danmark, De forente arabiske emirater, Egypt, Hellas, India, Kroatia, Nederland, Norge, Polen, Sveits
Genmisin Tyrkia
Gensif Tyrkia
Gensumycin Finland, Norge, Sverige
Genta-Gobens Spania
Gentalline Marokko
Gentamen Marokko
Genticin De forente arabiske emirater, Irland, Storbritannia
Gentreks Tyrkia
Hexamycin Danmark
Plurisemina Argentina
Refobacin Colombia, Egypt, Tyskland, Østerrike
Rupegen Argentina
Oppløsningsstabilitet   Injeksjon   Oppløsningsstabilitet : Gentamicin sulfate     
Beholder Oppløsningsmiddel Konsentrasjon Temperatur Oppbevaring Varighet av stabilitet Referanser
Glass Natriumklorid 0,9 % 10 mg/ml 4°C Beskyttes mot lys
84 Dag
1486
Biologisk metode

Polyvinylklorid Natriumklorid 0,9 % 1 mg/ml -20°C Beskyttes mot lys
30 Dag
573
Biologisk metode

Polyvinylklorid Natriumklorid 0,9 % 1 mg/ml 25°C Lys
48 Tid
434

Polyvinylklorid Natriumklorid 0,9 % 1 mg/ml 4°C Beskyttes mot lys
48 Tid
434

Polyvinylklorid Natriumklorid 0,9 % 1,2 mg/ml -20°C Beskyttes mot lys
28 Dag
565
Bevisgrad D

Polyvinylklorid Glukose 5 % 1 mg/ml -20°C Beskyttes mot lys
30 Dag
573
Biologisk metode

Polyvinylklorid Glukose 5 % 1 mg/ml 25°C Lys
48 Tid
434

motstridende data
Polyvinylklorid Glukose 5 % 1 mg/ml 4°C Beskyttes mot lys
48 Tid
434

Polyvinylklorid Glukose 5 % 1,2 mg/ml -20°C Beskyttes mot lys
28 Dag
565
Bevisgrad D

Polyvinylklorid Glukose 5 % 1,6 mg/ml -20°C Beskyttes mot lys
30 Dag
576
Biologisk metode

Polyvinylklorid Extraneal® (Baxter) 0,02 mg/ml 25°C Beskyttes mot lys
14 Dag
3888
Bevisgrad D

Polyvinylklorid Extraneal® (Baxter) 0,02 mg/ml 37°C Beskyttes mot lys
14 Dag
3888
Bevisgrad D

Polyvinylklorid Extraneal® (Baxter) 0,02 mg/ml 4°C Beskyttes mot lys
14 Dag
3888
Bevisgrad D

Polyetylen Vann til injeksjon 2,5 mg/ml 25°C Med eller uten lys
112 Dag
3141
Bevisgrad B

Etylenvinylacetat Natriumklorid 0,9 % 0,85 mg/ml 23°C Beskyttes mot lys
7 Dag
1704
Bevisgrad A +

Etylenvinylacetat Natriumklorid 0,9 % 0,85 mg/ml 4°C Beskyttes mot lys
30 Dag
1704
Bevisgrad A +

Sprøyte polypropylen Natriumklorid 0,9 % 30 mg/ml 22°C-23°C Lys
48 Tid
639
Bevisgrad D

Polyisopren elastomer Natriumklorid 0,9 % 0,5 & 5 mg/ml 25°C Ikke angitt
24 Tid
604
Stabilitetsopplysninger fra produsent

Polyisopren elastomer Natriumklorid 0,9 % 0,5 & 5 mg/ml 4°C Beskyttes mot lys
10 Dag
604
Stabilitetsopplysninger fra produsent

Polyisopren elastomer Glukose 5 % 0,5 & 5 mg/ml 25°C Ikke angitt
24 Tid
604
Stabilitetsopplysninger fra produsent

motstridende data
Polyisopren elastomer Glukose 5 % 0,5 & 5 mg/ml 4°C Beskyttes mot lys
10 Dag
604
Stabilitetsopplysninger fra produsent

Ikke angitt Vann til injeksjon 2,5 mg/ml 37°C Ikke angitt
96 Tid
3952
Bevisgrad A


  Mentions Légales