Последно актуализиране :
17/12/2025
Антибиотик   Gentamicin sulfate  
Инжекция/Инжекционен
Капки за очи
Стабилност на разтвори Стабилност на смеси Фактори, повлияващи стабилността Съвместимост Път на въвеждане Библиография Pdf
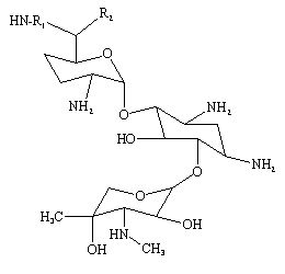
   Химична структура  

Търговско наименование   Търговско наименование     

Търговските имена са примерни и съставът на помощните вещества може да бъде различен в зависимост от държавата и лабораториите

Azupel Перу
Cidomycin Великобритания, Египет, Тунис
Dabroson Гърция
Epigent Египет
Garalone Португалия
Garamicina Бразилия, Еквадор, Колумбия, Мексико
Garamycin Гърция, Дания, Египет, Индия, Норвегия, Обединени арабски емирства, Полша, Холандия, Хърватия, Швейцария
Genmisin Турция
Gensif Турция
Gensumycin Норвегия, Финландия, Швеция
Genta-Gobens Испания
Gentalline Мароко
Gentamen Мароко
Genticin Великобритания, Ирландия, Обединени арабски емирства
Gentreks Турция
Hexamycin Дания
Plurisemina Аржентина
Refobacin Австрия, Германия, Египет, Колумбия
Rupegen Аржентина
Стабилност на разтвори   Инжекция/Инжекционен   Стабилност на разтвори : Gentamicin sulfate     
Контейнер Разтворител Концентрация Температура Съхранение Продължителност на стабилността Библиография
Стъкло Sodium chloride 0,9% 10 mg/ml 4°C Защита от светлина
84 Ден
1486
Биологичен анализ

Поливинил хлорид Sodium chloride 0,9% 1 mg/ml -20°C Защита от светлина
30 Ден
573
Биологичен анализ

Поливинил хлорид Sodium chloride 0,9% 1 mg/ml 25°C Светлина
48 Час
434

Поливинил хлорид Sodium chloride 0,9% 1 mg/ml 4°C Защита от светлина
48 Час
434

Поливинил хлорид Sodium chloride 0,9% 1,2 mg/ml -20°C Защита от светлина
28 Ден
565
Степен на доказаност D

Поливинил хлорид Glucose 5% 1 mg/ml -20°C Защита от светлина
30 Ден
573
Биологичен анализ

Поливинил хлорид Glucose 5% 1 mg/ml 25°C Светлина
48 Час
434

противоречиви данни
Поливинил хлорид Glucose 5% 1 mg/ml 4°C Защита от светлина
48 Час
434

Поливинил хлорид Glucose 5% 1,2 mg/ml -20°C Защита от светлина
28 Ден
565
Степен на доказаност D

Поливинил хлорид Glucose 5% 1,6 mg/ml -20°C Защита от светлина
30 Ден
576
Биологичен анализ

Поливинил хлорид Extraneal® (Baxter) 0,02 mg/ml 25°C Защита от светлина
14 Ден
3888
Степен на доказаност D

Поливинил хлорид Extraneal® (Baxter) 0,02 mg/ml 37°C Защита от светлина
14 Ден
3888
Степен на доказаност D

Поливинил хлорид Extraneal® (Baxter) 0,02 mg/ml 4°C Защита от светлина
14 Ден
3888
Степен на доказаност D

Полиетилен Вода за инжекции 2,5 mg/ml 25°C С или без светлина
112 Ден
3141
Степен на доказаност B

Етилен винил ацетат Sodium chloride 0,9% 0,85 mg/ml 23°C Защита от светлина
7 Ден
1704
Степен на доказаност A+

Етилен винил ацетат Sodium chloride 0,9% 0,85 mg/ml 4°C Защита от светлина
30 Ден
1704
Степен на доказаност A+

шприц полипропилен Sodium chloride 0,9% 30 mg/ml 22°C-23°C Светлина
48 Час
639
Степен на доказаност D

Полиизопренов еластомер Sodium chloride 0,9% 0,5 & 5 mg/ml 25°C Не е уточнено
24 Час
604
Данни за стабилност на производителя

Полиизопренов еластомер Sodium chloride 0,9% 0,5 & 5 mg/ml 4°C Защита от светлина
10 Ден
604
Данни за стабилност на производителя

Полиизопренов еластомер Glucose 5% 0,5 & 5 mg/ml 25°C Не е уточнено
24 Час
604
Данни за стабилност на производителя

противоречиви данни
Полиизопренов еластомер Glucose 5% 0,5 & 5 mg/ml 4°C Защита от светлина
10 Ден
604
Данни за стабилност на производителя

Не е уточнено Вода за инжекции 2,5 mg/ml 37°C Не е уточнено
96 Час
3952
Степен на доказаност A


  Mentions Légales