最新更新 :
27/01/2026
抗生素   Gentamicin sulfate  
注射液
眼药水
溶液稳定性 混合物稳定性 影响稳定性的因素 兼容性 用药途径 引用文献 PDF
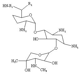
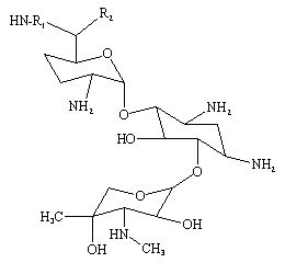
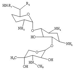
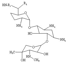
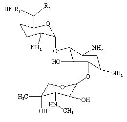
   化学式  

商品名   商品名     

商品名仅供参考, 药品所用的辅料可能依国家或厂商不同有所不同。

Azupel 秘鲁
Cidomycin 埃及, 突尼斯, 英国
Dabroson 希腊
Epigent 埃及
Garalone 葡萄牙
Garamicina 厄瓜多尔, 哥伦比亚, 墨西哥, 巴西
Garamycin 丹麦, 克罗地亚, 印度, 埃及, 希腊, 挪威, 波兰, 瑞士, 荷兰, 阿联酋
Genmisin 土耳其
Gensif 土耳其
Gensumycin 挪威, 瑞典, 芬兰
Genta-Gobens 西班牙
Gentalline 摩洛哥
Gentamen 摩洛哥
Genticin 爱尔兰, 英国, 阿联酋
Gentreks 土耳其
Hexamycin 丹麦
Plurisemina 阿根廷
Refobacin 哥伦比亚, 埃及, 奥地利, 德国
Rupegen 阿根廷
溶液稳定性   注射液   溶液稳定性 : Gentamicin sulfate     
容器 溶剂 浓度 温度 保存 穩定持續時間 引用文献
玻璃 NaCl 0,9% 10 mg/ml 4°C 避光
84 白天
1486
生物检测

聚氯乙烯 NaCl 0,9% 1 mg/ml -20°C 避光
30 白天
573
生物检测

聚氯乙烯 NaCl 0,9% 1 mg/ml 25°C 光
48 小时
434

聚氯乙烯 NaCl 0,9% 1 mg/ml 4°C 避光
48 小时
434

聚氯乙烯 NaCl 0,9% 1,2 mg/ml -20°C 避光
28 白天
565
D级

聚氯乙烯 葡萄糖5% 1 mg/ml -20°C 避光
30 白天
573
生物检测

聚氯乙烯 葡萄糖5% 1 mg/ml 25°C 光
48 小时
434

矛盾的數據
聚氯乙烯 葡萄糖5% 1 mg/ml 4°C 避光
48 小时
434

聚氯乙烯 葡萄糖5% 1,2 mg/ml -20°C 避光
28 白天
565
D级

聚氯乙烯 葡萄糖5% 1,6 mg/ml -20°C 避光
30 白天
576
生物检测

聚氯乙烯 Extraneal® (Baxter) 0,02 mg/ml 25°C 避光
14 白天
3888
D级

聚氯乙烯 Extraneal® (Baxter) 0,02 mg/ml 37°C 避光
14 白天
3888
D级

聚氯乙烯 Extraneal® (Baxter) 0,02 mg/ml 4°C 避光
14 白天
3888
D级

聚乙烯 注射用水 2,5 mg/ml 25°C 光/避光
112 白天
3141
B级

乙烯乙酸乙烯酯 NaCl 0,9% 0,85 mg/ml 23°C 避光
7 白天
1704
A+级

乙烯乙酸乙烯酯 NaCl 0,9% 0,85 mg/ml 4°C 避光
30 白天
1704
A+级

注射器  聚丙烯 NaCl 0,9% 30 mg/ml 22°C-23°C 光
48 小时
639
D级

聚異戊二烯彈性體 NaCl 0,9% 0,5 & 5 mg/ml 25°C 无特殊要求
24 小时
604
生产厂家提供的稳定性数据

聚異戊二烯彈性體 NaCl 0,9% 0,5 & 5 mg/ml 4°C 避光
10 白天
604
生产厂家提供的稳定性数据

聚異戊二烯彈性體 葡萄糖5% 0,5 & 5 mg/ml 25°C 无特殊要求
24 小时
604
生产厂家提供的稳定性数据

矛盾的數據
聚異戊二烯彈性體 葡萄糖5% 0,5 & 5 mg/ml 4°C 避光
10 白天
604
生产厂家提供的稳定性数据

不详 注射用水 2,5 mg/ml 37°C 无特殊要求
96 小时
3952
A级


  Mentions Légales