Laatste update :
27/01/2026
Antibioticum   Gentamicin sulfate  
injecteerbaar geneesmiddel
Oogwater
Stabiliteit in oplossing Stabiliteit in mengsels Factoren die de stabiliteit beïnvloeden Verenigbaarheden Toedieningswijze Literatuur pdf
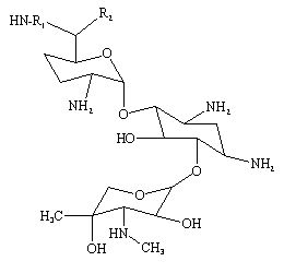
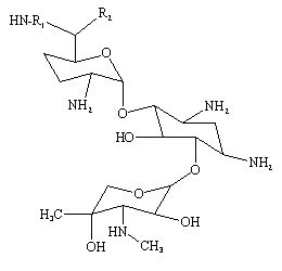
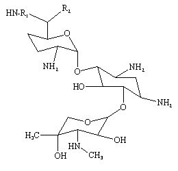
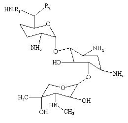
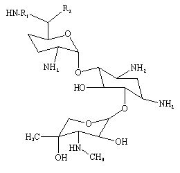
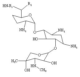
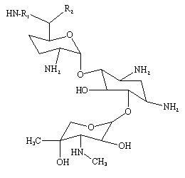
   Molecuulstructuur  

Merknamen in verschillende landen   Merknamen in verschillende landen     

Handelsnamen zijn slechts een indicatie; de samenstelling van hulpstoffen kan per land variëren afhankelijk van de fabrikant

Azupel Peru
Cidomycin Egypte, Groot Britannië, Tunisie
Dabroson Griekenland
Epigent Egypte
Garalone Portugal
Garamicina Brazilië, Colombia, Ecuador, Mexico
Garamycin Denemarken, Egypte, Griekenland, Indië, Kroatië, Nederland, Noorwegen, Polen, Verenigde Arabische Emiraten, Zwitserland
Genmisin Turkije
Gensif Turkije
Gensumycin Finland, Noorwegen, Zweden
Genta-Gobens Spanje
Gentalline Marokko
Gentamen Marokko
Genticin Groot Britannië, Ierland, Verenigde Arabische Emiraten
Gentreks Turkije
Hexamycin Denemarken
Plurisemina Argentinië
Refobacin Colombia, Duitsland, Egypte, Oostenrijk
Rupegen Argentinië
Stabiliteit in oplossing   injecteerbaar geneesmiddel   Stabiliteit in oplossing : Gentamicin sulfate     
Verpakking Oplosmiddel Concentratie Temperatuur Bewaring Duur van de stabiliteit Literatuur
Glas Natriumchloride 0,9% 10 mg/ml 4°C Buiten invloed van licht
84 Dag
1486
Biologische analyse

Polyvinylchloride (PVC) Natriumchloride 0,9% 1 mg/ml -20°C Buiten invloed van licht
30 Dag
573
Biologische analyse

Polyvinylchloride (PVC) Natriumchloride 0,9% 1 mg/ml 25°C Licht
48 Uur
434

Polyvinylchloride (PVC) Natriumchloride 0,9% 1 mg/ml 4°C Buiten invloed van licht
48 Uur
434

Polyvinylchloride (PVC) Natriumchloride 0,9% 1,2 mg/ml -20°C Buiten invloed van licht
28 Dag
565
Bewijsniveau D

Polyvinylchloride (PVC) Glucose 5% 1 mg/ml -20°C Buiten invloed van licht
30 Dag
573
Biologische analyse

Polyvinylchloride (PVC) Glucose 5% 1 mg/ml 25°C Licht
48 Uur
434

tegenstrijdige gegevens
Polyvinylchloride (PVC) Glucose 5% 1 mg/ml 4°C Buiten invloed van licht
48 Uur
434

Polyvinylchloride (PVC) Glucose 5% 1,2 mg/ml -20°C Buiten invloed van licht
28 Dag
565
Bewijsniveau D

Polyvinylchloride (PVC) Glucose 5% 1,6 mg/ml -20°C Buiten invloed van licht
30 Dag
576
Biologische analyse

Polyvinylchloride (PVC) Extraneal® (Baxter) 0,02 mg/ml 25°C Buiten invloed van licht
14 Dag
3888
Bewijsniveau D

Polyvinylchloride (PVC) Extraneal® (Baxter) 0,02 mg/ml 37°C Buiten invloed van licht
14 Dag
3888
Bewijsniveau D

Polyvinylchloride (PVC) Extraneal® (Baxter) 0,02 mg/ml 4°C Buiten invloed van licht
14 Dag
3888
Bewijsniveau D

Polyethyleen (PE) Water voor injectie 2,5 mg/ml 25°C Met of zonder licht
112 Dag
3141
Bewijsniveau B

Ethyleenvinylacetaat (EVA) Natriumchloride 0,9% 0,85 mg/ml 23°C Buiten invloed van licht
7 Dag
1704
Bewijsniveau A+

Ethyleenvinylacetaat (EVA) Natriumchloride 0,9% 0,85 mg/ml 4°C Buiten invloed van licht
30 Dag
1704
Bewijsniveau A+

injectiespuit polypropyleen Natriumchloride 0,9% 30 mg/ml 22°C-23°C Licht
48 Uur
639
Bewijsniveau D

Polyisopreen elastomeer Natriumchloride 0,9% 0,5 & 5 mg/ml 25°C Niet gespecificeerd
24 Uur
604
Stabiliteitsgegevens van de fabrikant

Polyisopreen elastomeer Natriumchloride 0,9% 0,5 & 5 mg/ml 4°C Buiten invloed van licht
10 Dag
604
Stabiliteitsgegevens van de fabrikant

Polyisopreen elastomeer Glucose 5% 0,5 & 5 mg/ml 25°C Niet gespecificeerd
24 Uur
604
Stabiliteitsgegevens van de fabrikant

tegenstrijdige gegevens
Polyisopreen elastomeer Glucose 5% 0,5 & 5 mg/ml 4°C Buiten invloed van licht
10 Dag
604
Stabiliteitsgegevens van de fabrikant

Niet gespecificeerd Water voor injectie 2,5 mg/ml 37°C Niet gespecificeerd
96 Uur
3952
Bewijsniveau A


  Mentions Légales