Cập nhật lần cuối :
27/01/2026
Kháng sinh   Gentamicin sulfate  
Dạng tiêm
Thuốc nhỏ mắt
Tính ổn định của các dung dịch Độ ổn định khi trộn lẫn Những yếu tố ảnh hưởng đến độ ổn định Khả năng tương thích Đường dùng Tài liệu tham khảo Pdf
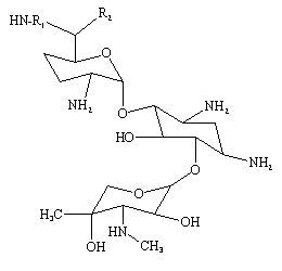
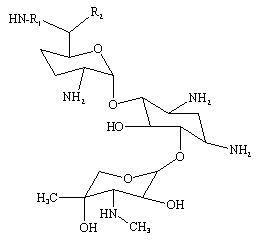
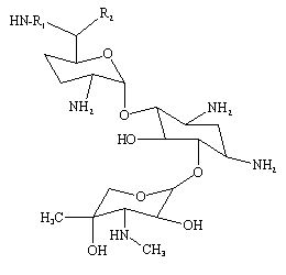
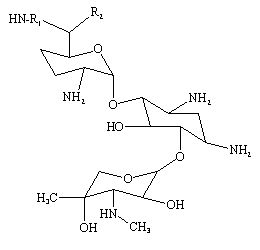
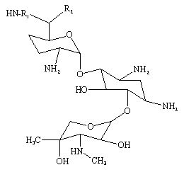
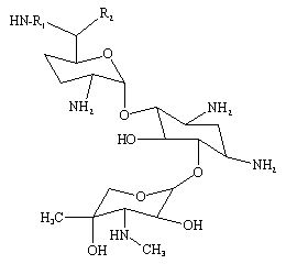
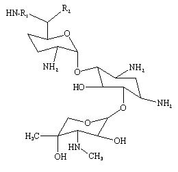
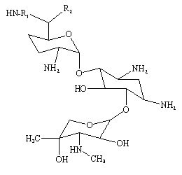
   Cấu trúc hóa học  

Tên thương mại   Tên thương mại     

Các tên thương mại được cung cấp và thành phần tá dược có thể khác nhau giữa các quốc gia và các hãng dược

Azupel Peru
Cidomycin Ả Rập, Anh, Tunisia
Dabroson Hy Lạp
Epigent Ả Rập
Garalone Bồ Đào Nha
Garamicina Brazil, Colombia, Ecuador, Mexico
Garamycin Ả Rập, Ấn Độ, Ba Lan, Croatia, Hà Lan, Hy Lạp, Na Uy, Thụy Sỹ, United Arab Emirates, Đan Mạch
Genmisin Thổ Nhĩ Kỳ
Gensif Thổ Nhĩ Kỳ
Gensumycin Na Uy, Phần Lan, Thụy Điển
Genta-Gobens Tây Ban Nha
Gentalline Morocco
Gentamen Morocco
Genticin Anh, Ireland, United Arab Emirates
Gentreks Thổ Nhĩ Kỳ
Hexamycin Đan Mạch
Plurisemina Argentina
Refobacin Ả Rập, Áo, Colombia, Đức
Rupegen Argentina
Tính ổn định của các dung dịch   Dạng tiêm   Tính ổn định của các dung dịch : Gentamicin sulfate     
Bao bì Dung môi Nồng độ Nhiệt độ Bảo quản Thời gian ổn định Mục lục
Thủy tinh NaCl 0,9% 10 mg/ml 4°C Tránh ánh sáng
84 Ngày
1486
Phương pháp sinh học

Nhựa polyvinyl chloride NaCl 0,9% 1 mg/ml -20°C Tránh ánh sáng
30 Ngày
573
Phương pháp sinh học

Nhựa polyvinyl chloride NaCl 0,9% 1 mg/ml 25°C Ánh sáng
48 Giờ
434

Nhựa polyvinyl chloride NaCl 0,9% 1 mg/ml 4°C Tránh ánh sáng
48 Giờ
434

Nhựa polyvinyl chloride NaCl 0,9% 1,2 mg/ml -20°C Tránh ánh sáng
28 Ngày
565
Cấp độ bằng chứng D

Nhựa polyvinyl chloride Glucose 5% 1 mg/ml -20°C Tránh ánh sáng
30 Ngày
573
Phương pháp sinh học

Nhựa polyvinyl chloride Glucose 5% 1 mg/ml 25°C Ánh sáng
48 Giờ
434

dữ liệu mâu thuẫn
Nhựa polyvinyl chloride Glucose 5% 1 mg/ml 4°C Tránh ánh sáng
48 Giờ
434

Nhựa polyvinyl chloride Glucose 5% 1,2 mg/ml -20°C Tránh ánh sáng
28 Ngày
565
Cấp độ bằng chứng D

Nhựa polyvinyl chloride Glucose 5% 1,6 mg/ml -20°C Tránh ánh sáng
30 Ngày
576
Phương pháp sinh học

Nhựa polyvinyl chloride Extraneal® (Baxter) 0,02 mg/ml 25°C Tránh ánh sáng
14 Ngày
3888
Cấp độ bằng chứng D

Nhựa polyvinyl chloride Extraneal® (Baxter) 0,02 mg/ml 37°C Tránh ánh sáng
14 Ngày
3888
Cấp độ bằng chứng D

Nhựa polyvinyl chloride Extraneal® (Baxter) 0,02 mg/ml 4°C Tránh ánh sáng
14 Ngày
3888
Cấp độ bằng chứng D

Nhựa polyethylen Nước cất pha tiêm 2,5 mg/ml 25°C Có hoặc không có tiếp xúc với ánh sáng
112 Ngày
3141
Cấp độ bằng chứng B

Nhựa ethylene vinyl acetat NaCl 0,9% 0,85 mg/ml 23°C Tránh ánh sáng
7 Ngày
1704
Cấp độ bằng chứng A+

Nhựa ethylene vinyl acetat NaCl 0,9% 0,85 mg/ml 4°C Tránh ánh sáng
30 Ngày
1704
Cấp độ bằng chứng A+

ống tiêm polypropylene NaCl 0,9% 30 mg/ml 22°C-23°C Ánh sáng
48 Giờ
639
Cấp độ bằng chứng D

Chất đàn hồi polyisoprene NaCl 0,9% 0,5 & 5 mg/ml 25°C Không rõ
24 Giờ
604
Các dữ liệu về độ ổn định của nhà sản xuất

Chất đàn hồi polyisoprene NaCl 0,9% 0,5 & 5 mg/ml 4°C Tránh ánh sáng
10 Ngày
604
Các dữ liệu về độ ổn định của nhà sản xuất

Chất đàn hồi polyisoprene Glucose 5% 0,5 & 5 mg/ml 25°C Không rõ
24 Giờ
604
Các dữ liệu về độ ổn định của nhà sản xuất

dữ liệu mâu thuẫn
Chất đàn hồi polyisoprene Glucose 5% 0,5 & 5 mg/ml 4°C Tránh ánh sáng
10 Ngày
604
Các dữ liệu về độ ổn định của nhà sản xuất

Không rõ Nước cất pha tiêm 2,5 mg/ml 37°C Không rõ
96 Giờ
3952
Cấp độ bằng chứng A


  Mentions Légales