Ultimele actualizari :
18/03/2026
Antibiotic   Gentamicin sulfate  
Injectabil
colir
Stabilitatea in solutie Stabilitatea in amestec Factorii care influenteaza stabilitatea Compatibilitate Microunde Bibliografie pdf
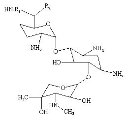
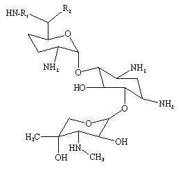
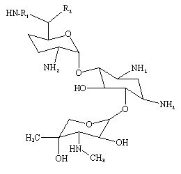
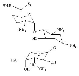
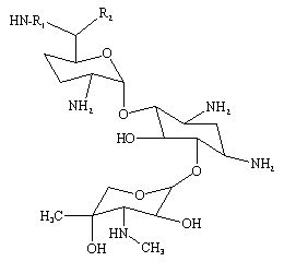
   Formula chimica  

Denumirea comerciala   Denumirea comerciala     

Trade names are indicative and excipients composition can be different depending on the country and manufacturers

Azupel Peru
Cidomycin Egipt, Marea Britanie, Tunisia
Dabroson Grecia
Epigent Egipt
Garalone Portugalia
Garamicina Brazilia, Columbia, Ecuador, Mexic
Garamycin Croatia, Danemarca, Egipt, Elvetia, Emiratele Arabe Unite, Grecia, India, Norvegia, Olanda, Polonia
Genmisin Turcia
Gensif Turcia
Gensumycin Finlanda, Norvegia, Suedia
Genta-Gobens Spania
Gentalline Maroc
Gentamen Maroc
Genticin Emiratele Arabe Unite, Irlanda, Marea Britanie
Gentreks Turcia
Hexamycin Danemarca
Plurisemina Argentina
Refobacin Austria, Columbia, Egipt, Germania
Rupegen Argentina
Stabilitatea in solutie   Injectabil   Stabilitatea in solutie : Gentamicin sulfate     
Continut Solvent Concentratie Temperatura Conservare Durata stabilității Bibiografie
sticla clorura de sodiu 0,9% 10 mg/ml 4°C Ferit de lumina
84 Ziua
1486
Analiza biologică

clorura de polivinil clorura de sodiu 0,9% 1 mg/ml -20°C Ferit de lumina
30 Ziua
573
Analiza biologică

clorura de polivinil clorura de sodiu 0,9% 1 mg/ml 25°C Lumina
48 Ora
434

clorura de polivinil clorura de sodiu 0,9% 1 mg/ml 4°C Ferit de lumina
48 Ora
434

clorura de polivinil clorura de sodiu 0,9% 1,2 mg/ml -20°C Ferit de lumina
28 Ziua
565
Nivel de evidență D

clorura de polivinil Glucoza 5% 1 mg/ml -20°C Ferit de lumina
30 Ziua
573
Analiza biologică

clorura de polivinil Glucoza 5% 1 mg/ml 25°C Lumina
48 Ora
434

date contradictorii
clorura de polivinil Glucoza 5% 1 mg/ml 4°C Ferit de lumina
48 Ora
434

clorura de polivinil Glucoza 5% 1,2 mg/ml -20°C Ferit de lumina
28 Ziua
565
Nivel de evidență D

clorura de polivinil Glucoza 5% 1,6 mg/ml -20°C Ferit de lumina
30 Ziua
576
Analiza biologică

clorura de polivinil Extraneal® (Baxter) 0,02 mg/ml 25°C Ferit de lumina
14 Ziua
3888
Nivel de evidență D

clorura de polivinil Extraneal® (Baxter) 0,02 mg/ml 37°C Ferit de lumina
14 Ziua
3888
Nivel de evidență D

clorura de polivinil Extraneal® (Baxter) 0,02 mg/ml 4°C Ferit de lumina
14 Ziua
3888
Nivel de evidență D

polietilen apa pentru preparate injectabile 2,5 mg/ml 25°C In prezenta sau absenta luminii
112 Ziua
3141
Nivel de evidență B

etilen vinil acetat clorura de sodiu 0,9% 0,85 mg/ml 23°C Ferit de lumina
7 Ziua
1704
Nivel de evidență A+

etilen vinil acetat clorura de sodiu 0,9% 0,85 mg/ml 4°C Ferit de lumina
30 Ziua
1704
Nivel de evidență A+

seringă polipropileno clorura de sodiu 0,9% 30 mg/ml 22°C-23°C Lumina
48 Ora
639
Nivel de evidență D

Elastomer poliizoprenic clorura de sodiu 0,9% 0,5 & 5 mg/ml 25°C Neprecizat
24 Ora
604
Documentele de stabilitate ale producătorului

Elastomer poliizoprenic clorura de sodiu 0,9% 0,5 & 5 mg/ml 4°C Ferit de lumina
10 Ziua
604
Documentele de stabilitate ale producătorului

Elastomer poliizoprenic Glucoza 5% 0,5 & 5 mg/ml 25°C Neprecizat
24 Ora
604
Documentele de stabilitate ale producătorului

date contradictorii
Elastomer poliizoprenic Glucoza 5% 0,5 & 5 mg/ml 4°C Ferit de lumina
10 Ziua
604
Documentele de stabilitate ale producătorului

neprecizat apa pentru preparate injectabile 2,5 mg/ml 37°C Neprecizat
96 Ora
3952
Nivel de evidență A


  Mentions Légales