Utolsó frissítés :
27/01/2026
Antibiotikum   Gentamicin sulfate  
Injekció
Szemcsepp
Az oldatok stabilitása A keverékek stabilitása Stabilitást befolyásoló tényezők Kompatibilitás Az alkalmazás módja Irodalom pdf
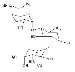
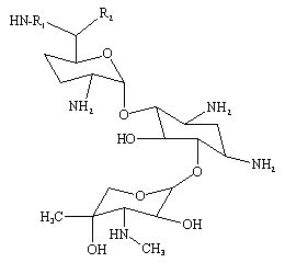
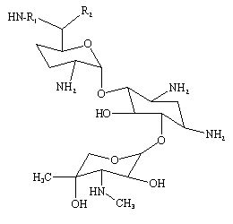
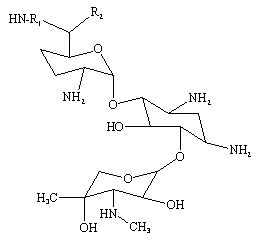
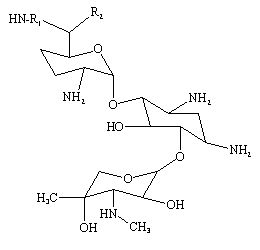
   Kémiai szerkezet   

Kereskedelmi név   Kereskedelmi név     

A kereskedelmi név meghatározó jelentőségű: a készítmények összetétele országonként, előállítóként eltérő lehet

Azupel Peru
Cidomycin Egyiptom, Nagy-Britannia, Tunézia
Dabroson Görögország
Epigent Egyiptom
Garalone Portugália
Garamicina Brazília, Colombia, Ecuador, Mexikó
Garamycin Dánia, Egyesült Arab Emírségek, Egyiptom, Görögország, Hollandia, Horvátország, India, Lengyelország, Norvégia, Svájc
Genmisin Törökország
Gensif Törökország
Gensumycin Finnország, Norvégia, Svédország
Genta-Gobens Spanyolország
Gentalline Marokkó
Gentamen Marokkó
Genticin Egyesült Arab Emírségek, Írország, Nagy-Britannia
Gentreks Törökország
Hexamycin Dánia
Plurisemina Argentína
Refobacin Ausztria, Colombia, Egyiptom, Németország
Rupegen Argentína
Az oldatok stabilitása   Injekció   Az oldatok stabilitása : Gentamicin sulfate     
Csomagolás Oldószer Koncentráció Hőmérséklet Tárolás A stabilitás időtartama Irodalom
Üveg 0,9% nátrium-klorid 10 mg/ml 4°C Fénytől védve tartandó
84 Nap
1486
Biológiai elemzés

Poli(vinilklorid) 0,9% nátrium-klorid 1 mg/ml -20°C Fénytől védve tartandó
30 Nap
573
Biológiai elemzés

Poli(vinilklorid) 0,9% nátrium-klorid 1 mg/ml 25°C Fény
48 Óra
434

Poli(vinilklorid) 0,9% nátrium-klorid 1 mg/ml 4°C Fénytől védve tartandó
48 Óra
434

Poli(vinilklorid) 0,9% nátrium-klorid 1,2 mg/ml -20°C Fénytől védve tartandó
28 Nap
565
Szintű bizonyítékot D

Poli(vinilklorid) 5% glükóz 1 mg/ml -20°C Fénytől védve tartandó
30 Nap
573
Biológiai elemzés

Poli(vinilklorid) 5% glükóz 1 mg/ml 25°C Fény
48 Óra
434

ellentmondó adatok
Poli(vinilklorid) 5% glükóz 1 mg/ml 4°C Fénytől védve tartandó
48 Óra
434

Poli(vinilklorid) 5% glükóz 1,2 mg/ml -20°C Fénytől védve tartandó
28 Nap
565
Szintű bizonyítékot D

Poli(vinilklorid) 5% glükóz 1,6 mg/ml -20°C Fénytől védve tartandó
30 Nap
576
Biológiai elemzés

Poli(vinilklorid) Extraneal® (Baxter) 0,02 mg/ml 25°C Fénytől védve tartandó
14 Nap
3888
Szintű bizonyítékot D

Poli(vinilklorid) Extraneal® (Baxter) 0,02 mg/ml 37°C Fénytől védve tartandó
14 Nap
3888
Szintű bizonyítékot D

Poli(vinilklorid) Extraneal® (Baxter) 0,02 mg/ml 4°C Fénytől védve tartandó
14 Nap
3888
Szintű bizonyítékot D

Polietilén Injekcióhoz való víz 2,5 mg/ml 25°C Fénnyel vagy anélkül
112 Nap
3141
Szintű bizonyítékot B

Etilén-vinilacetát 0,9% nátrium-klorid 0,85 mg/ml 23°C Fénytől védve tartandó
7 Nap
1704
Szintű bizonyítékot A+

Etilén-vinilacetát 0,9% nátrium-klorid 0,85 mg/ml 4°C Fénytől védve tartandó
30 Nap
1704
Szintű bizonyítékot A+

fecskendő polipropilén 0,9% nátrium-klorid 30 mg/ml 22°C-23°C Fény
48 Óra
639
Szintű bizonyítékot D

Poliizoprén elasztomer 0,9% nátrium-klorid 0,5 & 5 mg/ml 25°C Nincs meghatározva
24 Óra
604
Gyártó stabilitási adatokra

Poliizoprén elasztomer 0,9% nátrium-klorid 0,5 & 5 mg/ml 4°C Fénytől védve tartandó
10 Nap
604
Gyártó stabilitási adatokra

Poliizoprén elasztomer 5% glükóz 0,5 & 5 mg/ml 25°C Nincs meghatározva
24 Óra
604
Gyártó stabilitási adatokra

ellentmondó adatok
Poliizoprén elasztomer 5% glükóz 0,5 & 5 mg/ml 4°C Fénytől védve tartandó
10 Nap
604
Gyártó stabilitási adatokra

Nincs meghatározva Injekcióhoz való víz 2,5 mg/ml 37°C Nincs meghatározva
96 Óra
3952
Szintű bizonyítékot A


  Mentions Légales