Ultimo aggiornamento :
12/12/2025
Antibiotico   Gentamicin sulfate  
Iniezione
Collirio
Stabilità in soluzione Stabilità in miscela Fattori che influenzano la stabilità Compatibilità metodo di iniezione Bibliografia pdf
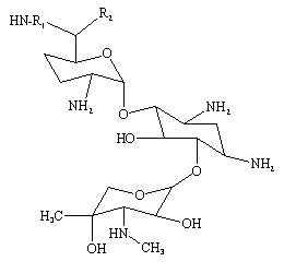
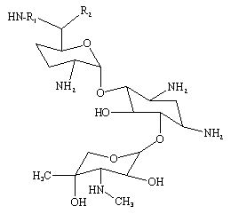
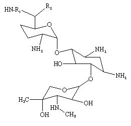
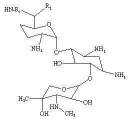
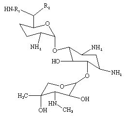
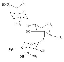
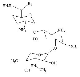
   Struttura chimica  

Nome commerciale   Nome commerciale     

Trade names are indicative and excipients composition can be different depending on the country and manufacturers

Azupel Perù
Cidomycin Egitto, Gran Bretagna, Tunisia
Dabroson Grecia
Epigent Egitto
Garalone Portogallo
Garamicina Brasile, Colombia, Ecuador, Messico
Garamycin Croazia, Danimarca, Egitto, Emirati Arabi Uniti, Grecia, India, Norvegia, Paesi Bassi, Polonia, Svizzera
Genmisin Turchia
Gensif Turchia
Gensumycin Finlandia, Norvegia, Svezia
Genta-Gobens Spagna
Gentalline Marocco
Gentamen Marocco
Genticin Emirati Arabi Uniti, Gran Bretagna, Irlanda
Gentreks Turchia
Hexamycin Danimarca
Plurisemina Argentina
Refobacin Austria, Colombia, Egitto, Germania
Rupegen Argentina
Stabilità in soluzione   Iniezione   Stabilità in soluzione : Gentamicin sulfate     
contenitore Solvente Concentrazione Temperatura Conservazione Durata della stabilità Bibliografia
Vetro Cloruro di sodio 0,9% 10 mg/ml 4°C Al riparo dalla luce
84 Giorno
1486
Analisi biologica

Cloruro di polivinile Cloruro di sodio 0,9% 1 mg/ml -20°C Al riparo dalla luce
30 Giorno
573
Analisi biologica

Cloruro di polivinile Cloruro di sodio 0,9% 1 mg/ml 25°C Luce
48 Ora
434

Cloruro di polivinile Cloruro di sodio 0,9% 1 mg/ml 4°C Al riparo dalla luce
48 Ora
434

Cloruro di polivinile Cloruro di sodio 0,9% 1,2 mg/ml -20°C Al riparo dalla luce
28 Giorno
565
Livello di evidenza D

Cloruro di polivinile Glucosio 5% 1 mg/ml -20°C Al riparo dalla luce
30 Giorno
573
Analisi biologica

Cloruro di polivinile Glucosio 5% 1 mg/ml 25°C Luce
48 Ora
434

dati contrastanti
Cloruro di polivinile Glucosio 5% 1 mg/ml 4°C Al riparo dalla luce
48 Ora
434

Cloruro di polivinile Glucosio 5% 1,2 mg/ml -20°C Al riparo dalla luce
28 Giorno
565
Livello di evidenza D

Cloruro di polivinile Glucosio 5% 1,6 mg/ml -20°C Al riparo dalla luce
30 Giorno
576
Analisi biologica

Cloruro di polivinile Extraneal® (Baxter) 0,02 mg/ml 25°C Al riparo dalla luce
14 Giorno
3888
Livello di evidenza D

Cloruro di polivinile Extraneal® (Baxter) 0,02 mg/ml 37°C Al riparo dalla luce
14 Giorno
3888
Livello di evidenza D

Cloruro di polivinile Extraneal® (Baxter) 0,02 mg/ml 4°C Al riparo dalla luce
14 Giorno
3888
Livello di evidenza D

Polietilene Acqua per preparato iniettabile 2,5 mg/ml 25°C Con o senza luce
112 Giorno
3141
Livello di evidenza B

Etilene vinilacetato Cloruro di sodio 0,9% 0,85 mg/ml 23°C Al riparo dalla luce
7 Giorno
1704
Livello di evidenza A+

Etilene vinilacetato Cloruro di sodio 0,9% 0,85 mg/ml 4°C Al riparo dalla luce
30 Giorno
1704
Livello di evidenza A+

siringa polipropilene Cloruro di sodio 0,9% 30 mg/ml 22°C-23°C Luce
48 Ora
639
Livello di evidenza D

Elastomero poliisoprenico Cloruro di sodio 0,9% 0,5 & 5 mg/ml 25°C Non precisata
24 Ora
604
Dati di stabilità del produttore

Elastomero poliisoprenico Cloruro di sodio 0,9% 0,5 & 5 mg/ml 4°C Al riparo dalla luce
10 Giorno
604
Dati di stabilità del produttore

Elastomero poliisoprenico Glucosio 5% 0,5 & 5 mg/ml 25°C Non precisata
24 Ora
604
Dati di stabilità del produttore

dati contrastanti
Elastomero poliisoprenico Glucosio 5% 0,5 & 5 mg/ml 4°C Al riparo dalla luce
10 Giorno
604
Dati di stabilità del produttore

Non precisato Acqua per preparato iniettabile 2,5 mg/ml 37°C Non precisata
96 Ora
3952
Livello di evidenza A


  Mentions Légales