zadnja posodobitev :
27/11/2025
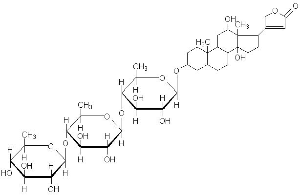
Kardiotonik   Digoxin  
Brizgalka
Stabilnost raztopine Stabilnost mešanice Faktorji, ki vplivajo na stabilnost Kompatibilnost način aplikacije Viri pdf
   Kemična formula  

Lastniško ime   Lastniško ime     

Sestava pomožnih snovi je med paralelami lahko različna

Cardixin Egipt
Celoxin Indija
Digibind nova Zelandija, Združene države Amerike
Digocard Argentina, Ekvador
Digosin Japonska
Digoxin Argentina, Danska, Ekvador, Finska, Iran, Kanada, Madžarska, Poljska, Švedska, Velika Britanija, Združene države Amerike
Digoxina Argentina, Ekvador, Mehika, Španija, Venezuela
Digoxine Francija, Grčija, Švica
Geoxin Indija
Lanibos Savdska Arabija
Lanicor Nemčija
Lanoxin Belgija, Čile, Egipt, Iran, Irska, Italija, Luksemburg, Malezija, Nizozemska, Norveška, nova Zelandija, Portugalska, Savdska Arabija, Velika Britanija, Združene države Amerike, Združeni arabski emirati
Loxinan Mehika
Stabilnost mešanice   Brizgalka   Stabilnost mešanice : Digoxin     
Vsebnik Topilo Koncentracija Sestava Temperatura Shranjevanje Trajanje stabilnosti Viri
Steklo Glukoza 5% 125 µg/ml
Brizgalka   Digoxin   
Brizgalka   Milrinone lactate 0,1 mg/ml
22°C-23°C
4 čas
Svetloba 191
 Stopnja dokaza A
Steklo Glukoza 5% 50 µg/ml
Brizgalka   Digoxin   
Brizgalka   Milrinone lactate 0,35 mg/ml
22°C-23°C
4 čas
Svetloba 191
 Stopnja dokaza A

  Mentions Légales