Última actualização :
05/12/2025
Cardiotónico   Digoxin  
injetável
Estabilidade em soluções simples Estabilidade em misturas Factores que afectam a sua estabilidade Compatibilidade Método de administração Bibliografía pdf
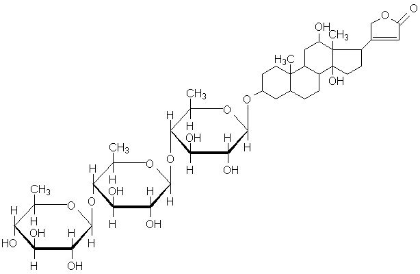
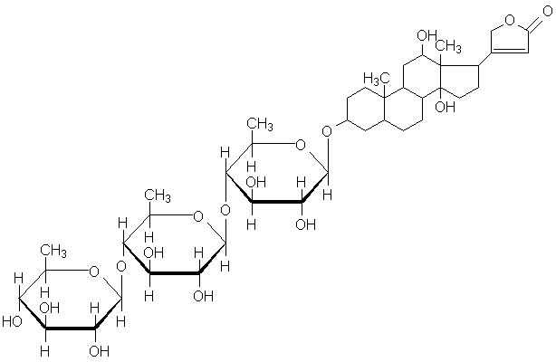
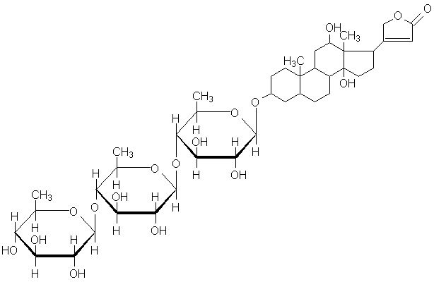
   estrutura química  

Nomes comerciais nos diversos países   Nomes comerciais nos diversos países     

OS NOMES COMERCIAIS SÃO INDICATIVOS E OS EXCIPIENTES DA FORMULAÇÃO PODEM SER DIFERENTES CONFORME O PAÍS E FABRICANTE.

Cardixin Egipto
Celoxin Índia
Digibind Estados Unidos de América, nova Zelândia
Digocard Argentina, Equator
Digosin Japón
Digoxin Argentina, Canadá, Dinamarca, Equator, Estados Unidos de América, Finlandia, Gran-bretanha, Hungria, Irã, Polonia, Suècia
Digoxina Argentina, Equator, Espanha, México, Venezuela
Digoxine França, Grècia, Suicia
Geoxin Índia
Lanibos Arábia Saudita
Lanicor Alemanha
Lanoxin Arábia Saudita, Bélgica, Chilli, Egipto, Emirados Árabes Unidos, Estados Unidos de América, Gran-bretanha, Irã, Irlanda, Itália, Luxemburgo, Malásia, Noruega, nova Zelândia, Países Baixos, Portugal
Loxinan México
Estabilidade em misturas   injetável   Estabilidade em misturas : Digoxin     
Embalagem Solvente concentração molécula temperatura conservação Duração da estabilidade Bibliografia
vidro Glucose 5% 125 µg/ml
injetável   Digoxin   
injetável   Milrinone lactate 0,1 mg/ml
22°C-23°C
4 hora
luz 191
Nível de evidência A
vidro Glucose 5% 50 µg/ml
injetável   Digoxin   
injetável   Milrinone lactate 0,35 mg/ml
22°C-23°C
4 hora
luz 191
Nível de evidência A

  Mentions Légales