Letztes “update” :
18/03/2026
Herzstärkungsmittel   Digoxin  
Injektion
Stabilität der Lösung Gemengestabilität Stabilitätbeeinflussende Faktoren Kompatibilitäten Applikationsart Literaturverzeichnis pdf
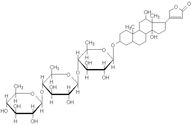
   Chemische Struktur  

Handelsmarke   Handelsmarke     

Handelsnamen sind als beispielhaft anzusehen. Sonstige Bestandteile können je nach Hersteller oder Land verschieden sein

Cardixin Ägypten
Celoxin Indien
Digibind Neuseeland, Vereinigte Staaten von Amerika
Digocard Argentinien, Ecuador
Digosin Japan
Digoxin Argentinien, Dänemark, Ecuador, Finnland, Großbritannien, Iran, Kanada, Polen, Schweden, Ungarn, Vereinigte Staaten von Amerika
Digoxina Argentinien, Ecuador, Mexiko, Spanien, Venezuela
Digoxine Frankreich, Griechenland, Schweiz
Geoxin Indien
Lanibos Saudi-Arabien
Lanicor Deutschland
Lanoxin Ägypten, Belgien, Chile, Großbritannien, Iran, Irland, Italien, Luxemburg, Malaysia, Neuseeland, Niederlande, Norwegen, Portugal, Saudi-Arabien, Vereinigte Arabische Emirate, Vereinigte Staaten von Amerika
Loxinan Mexiko
Gemengestabilität   Injektion   Gemengestabilität : Digoxin     
Behälter Lösungsmittel Konzentration Molekül Temperatur Konservierung Dauer der Stabilität Literaturverzeichnis
Glas 5% Glucose 125 µg/ml
Injektion   Digoxin   
Injektion   Milrinone lactate 0,1 mg/ml
22°C-23°C
4 Stunde
Licht 191
Evidenzgrad A
Glas 5% Glucose 50 µg/ml
Injektion   Digoxin   
Injektion   Milrinone lactate 0,35 mg/ml
22°C-23°C
4 Stunde
Licht 191
Evidenzgrad A

  Mentions Légales