Laatste update :
27/11/2025
Cardiotonicum   Digoxin  
injecteerbaar geneesmiddel
Stabiliteit in oplossing Stabiliteit in mengsels Factoren die de stabiliteit beïnvloeden Verenigbaarheden Toedieningswijze Literatuur pdf
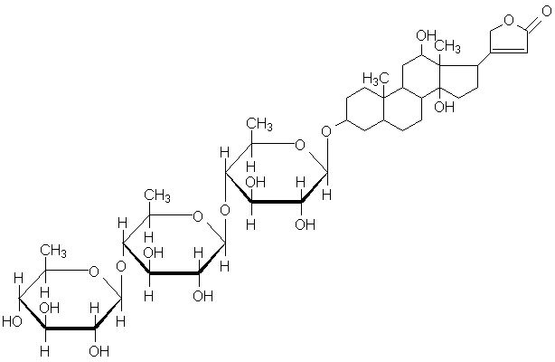
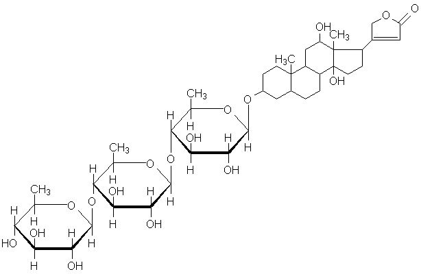
   Molecuulstructuur  

Merknamen in verschillende landen   Merknamen in verschillende landen     

Handelsnamen zijn slechts een indicatie; de samenstelling van hulpstoffen kan per land variëren afhankelijk van de fabrikant

Cardixin Egypte
Celoxin Indië
Digibind nieuw Zeeland, USA
Digocard Argentinië, Ecuador
Digosin Japan
Digoxin Argentinië, Canada, Denemarken, Ecuador, Finland, Groot Britannië, Hongarije, Iran, Polen, USA, Zweden
Digoxina Argentinië, Ecuador, Mexico, Spanje, Venezuela
Digoxine Frankrijk, Griekenland, Zwitserland
Geoxin Indië
Lanibos Saudi-Arabië
Lanicor Duitsland
Lanoxin België, Chili, Egypte, Groot Britannië, Ierland, Iran, Italië, Luxemburg, Maleisië, Nederland, nieuw Zeeland, Noorwegen, Portugal, Saudi-Arabië, USA, Verenigde Arabische Emiraten
Loxinan Mexico
Stabiliteit in mengsels   injecteerbaar geneesmiddel   Stabiliteit in mengsels : Digoxin     
Verpakking Oplosmiddel Concentratie Stof Temperatuur Bewaring Duur van de stabiliteit Literatuur
Glas Glucose 5% 125 µg/ml
injecteerbaar geneesmiddel   Digoxin   
injecteerbaar geneesmiddel   Milrinone lactate 0,1 mg/ml
22°C-23°C
4 Uur
Licht 191
Bewijsniveau A
Glas Glucose 5% 50 µg/ml
injecteerbaar geneesmiddel   Digoxin   
injecteerbaar geneesmiddel   Milrinone lactate 0,35 mg/ml
22°C-23°C
4 Uur
Licht 191
Bewijsniveau A

  Mentions Légales