Siste oppdatering :
18/03/2026
Hjertestimulerende   Digoxin  
Injeksjon
Oppløsningsstabilitet Stabilitet i blandinger Faktorer som påvirker stabiliteten Kompatibilitet Administrasjonsmåte Referanser pdf
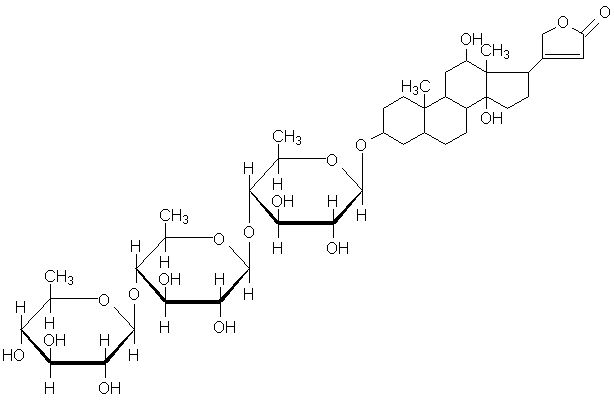
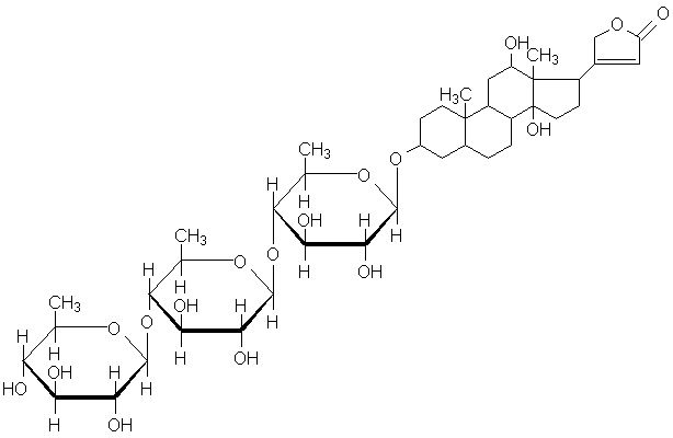
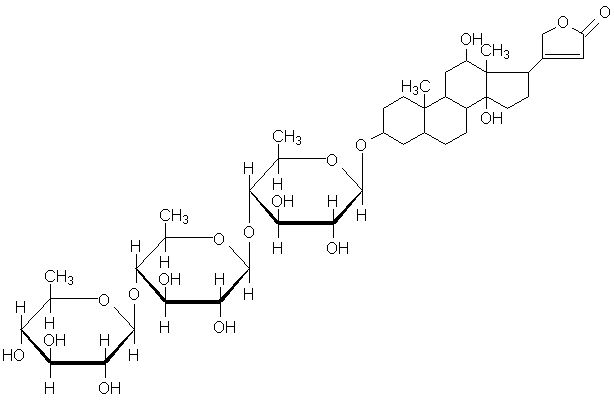
   Kjemisk struktur  

Handelsnavn   Handelsnavn     

Handelsnavn er veiledende og sammensetning av hjelpestoffer kan være forskjellig avhengig av land og produsent

Cardixin Egypt
Celoxin India
Digibind New Zealand, USA
Digocard Argentina, Ecuador
Digosin Japan
Digoxin Argentina, Canada, Danmark, Ecuador, Finland, Iran, Polen, Storbritannia, Sverige, Ungarn, USA
Digoxina Argentina, Ecuador, Mexico, Spania, Venezuela
Digoxine Frankrike, Hellas, Sveits
Geoxin India
Lanibos Saudi-Arabia
Lanicor Tyskland
Lanoxin Belgia, Chile, De forente arabiske emirater, Egypt, Iran, Irland, Italia, Luxembourg, Malaysia, Nederland, New Zealand, Norge, Portugal, Saudi-Arabia, Storbritannia, USA
Loxinan Mexico
Stabilitet i blandinger   Injeksjon   Stabilitet i blandinger : Digoxin     
Beholder Oppløsningsmiddel Konsentrasjon Legemiddel Temperatur Oppbevaring Varighet av stabilitet Referanser
Glass Glukose 5 % 125 µg/ml
Injeksjon   Digoxin   
Injeksjon   Milrinone lactate 0,1 mg/ml
22°C-23°C
4 Tid
Lys 191
Bevisgrad A
Glass Glukose 5 % 50 µg/ml
Injeksjon   Digoxin   
Injeksjon   Milrinone lactate 0,35 mg/ml
22°C-23°C
4 Tid
Lys 191
Bevisgrad A

  Mentions Légales