Zadnji put ažurirano :
18/03/2026
kardiotonici   Digoxin  
injekcija
Stabilizacija rješenja Stabilnost mješavine Stabilizacijski faktor Kompatibilnosti način davanja lijeka Bibliografija pdf
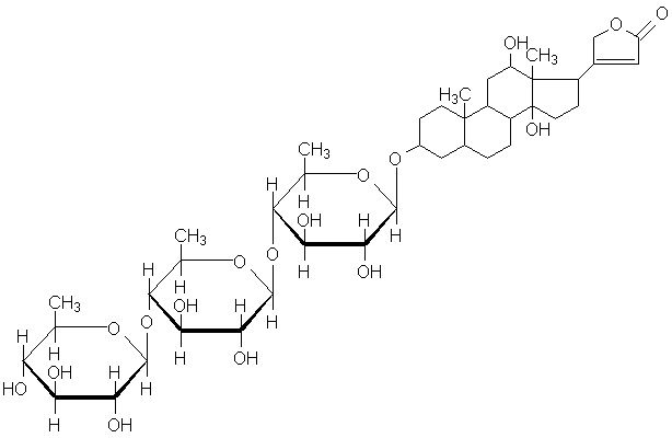
   Kemijska struktura  

Nekomercijalni   Nekomercijalni     

Zaštićeni nazivi su indikativni i sastav ekscipijensa može biti različit ovisno o državi i laboratorijima

Cardixin Egipat
Celoxin Indija
Digibind novi Zeland, S A D
Digocard Argentina, Ekvador
Digosin Japan
Digoxin Argentina, Danska, Ekvador, Finska, Iran, Kanada, Madžarska, Poljska, S A D, Švedska, Velika Britanija
Digoxina Argentina, Ekvador, Meksiko, Španjolska, Venecuela
Digoxine Francuska, Grčka, Švicarska
Geoxin Indija
Lanibos Saudijska Arabija
Lanicor Njemačka
Lanoxin Belgija, Čile, Egipat, Iran, Irska, Italija, Luksemburg, Malezija, Nizozemska, Norveška, novi Zeland, Portugal, S A D, Saudijska Arabija, Ujedinjeni Arapski Emirati, Velika Britanija
Loxinan Meksiko
Stabilnost mješavine   injekcija   Stabilnost mješavine : Digoxin     
Kontejner sredstvo za rastapanje koncentracija molekula temperatura Konzerviranje Trajanje stabilnosti Bibliografija
čaša glukoza 5% 125 µg/ml
injekcija   Digoxin   
injekcija   Milrinone lactate 0,1 mg/ml
22°C-23°C
4 sat
svjetlost 191
Razina dokaza A
čaša glukoza 5% 50 µg/ml
injekcija   Digoxin   
injekcija   Milrinone lactate 0,35 mg/ml
22°C-23°C
4 sat
svjetlost 191
Razina dokaza A

  Mentions Légales