Son güncelleme :
18/03/2026
Immünosupresan   Ciclosporin  
Enjeksiyon
Göz damlası Merhem Oral solüsyon / oral çözelti
Çözeltilerin stabilitesi Karışımlardaki stabilitesi Stabiliteyi etkileyen faktörler Uyumluluk Uygulama yöntemi Kaynaklar pdf
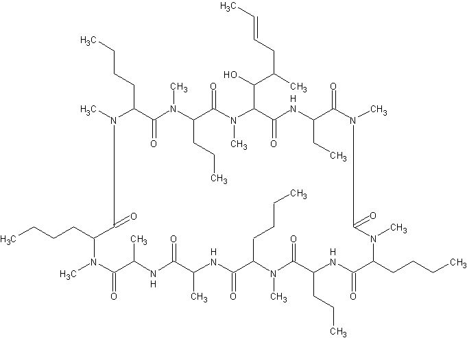
   Kimyasal yapı   

Ticari isim   Ticari isim     

Trade names are indicative and excipients composition can be different depending on the country and manufacturers

Cyclosporine Amerika Birleşik Devletleri, Kanada
Graftin Hindistan
Sandimmum Almanya, Arjantin, Avustralya, Avusturya, Belçika, Birleşik Arap Emirlikleri, Büyük Britanya, Danimarka, Fas, Finlandiya, İran, İrlanda, İspanya, İsveç, İsviçre, İtalya, İzlanda, Kolombiya, Lüksemburg, Macaristan, Malezya, Meksika, Norveç, Peru, Polonya, Portekiz, Şili, Suudi Arabistan, Tunus, Türkiye, yeni Zelanda, Yunanistan
Çözeltilerin stabilitesi   Enjeksiyon    Çözeltilerin stabilitesi : Ciclosporin     
Saklama kabı Çözücü Konsantrasyon Isı Saklama    Stabilite süresi Kaynaklar
Cam Sodyum klorür % 0,9 2 mg/ml 24°C Işıklı veya ışıksız
12 Zaman
454
Kanıt düzeyi D

Cam Glukoz %5 2 mg/ml 24°C I_ık
48 Zaman
471
Kanıt düzeyi D

Cam Glukoz %5 2 mg/ml 24°C Işıklı veya ışıksız
24 Zaman
454
Kanıt düzeyi D

Cam Glukoz %5 2 mg/ml 6°C Işıktan koruyunuz
48 Zaman
471
Kanıt düzeyi D

Poliolefin Sodyum klorür % 0,9 0,2 mg/ml 23-27°C Belirtilmemiş
14 Gün
3229
Kanıt düzeyi A+

Poliolefin Sodyum klorür % 0,9 2,5 mg/ml 23-27°C Belirtilmemiş
14 Gün
3229
Kanıt düzeyi A+

Poliolefin Glukoz %5 0,2 mg/ml 23-27°C Belirtilmemiş
14 Gün
3229
Kanıt düzeyi A+

Poliolefin Glukoz %5 2,5 mg/ml 23-27°C Belirtilmemiş
14 Gün
3229
Kanıt düzeyi A+

Etilen vinil asetat (EVA) Sodyum klorür % 0,9 0,2 mg/ml 25°C Belirtilmemiş
7 Gün
3476
Kanıt düzeyi B+

Etilen vinil asetat (EVA) Sodyum klorür % 0,9 2,5 mg/ml 25°C Belirtilmemiş
14 Gün
3476
Kanıt düzeyi B+

Etilen vinil asetat (EVA) Glukoz %5 0,2 mg/ml 25°C Belirtilmemiş
7 Gün
3476
Kanıt düzeyi B+

Etilen vinil asetat (EVA) Glukoz %5 2,5 mg/ml 25°C Belirtilmemiş
14 Gün
3476
Kanıt düzeyi B+


  Mentions Légales