Poslední aktualizace :
18/03/2026
Imunosupresivum   Ciclosporin  
injekce
Humbuk Masti Perorální roztok
Stabilita roztoků Stabilita směsí Faktory ovlivňující stabilitu Kompatibilita Způsoby aplikace Odkazy pdf
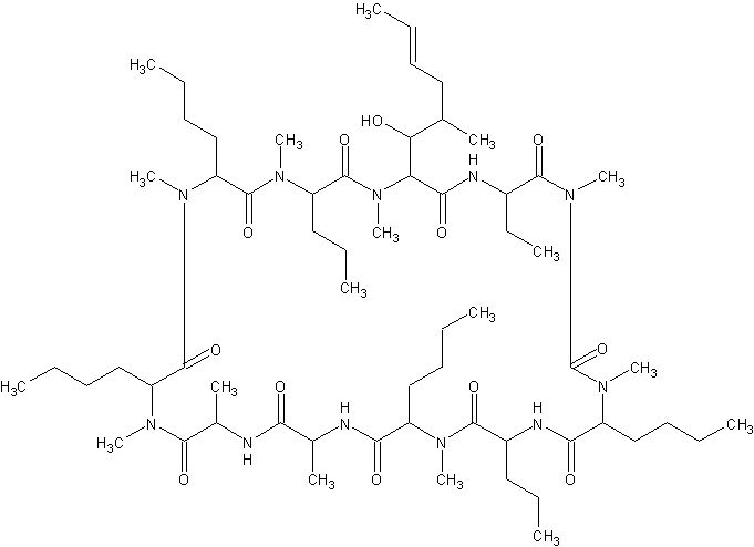
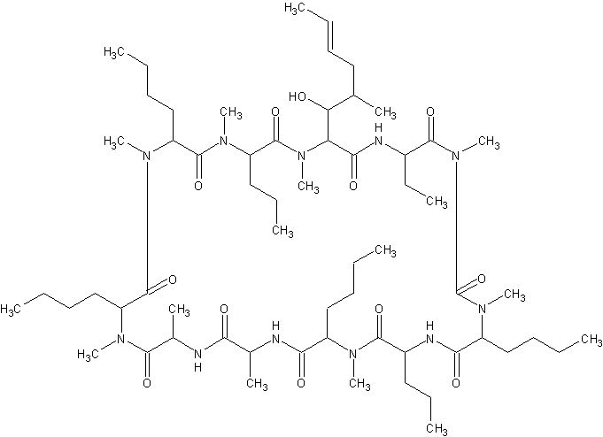
   Chemický vzorec  

Obchodní název   Obchodní název     

Trade names are indicative and excipients composition can be different depending on the country and manufacturers

Cyclosporine Kanada, USA
Graftin Indie
Sandimmum äpanÏlsko, Argentina, Austrálie, Belgie, Chile, Dánsko, Finsko, Írán, Irsko, Island, Itálie, Kolumbie, Lucembursko, Malajsie, MaÔarsko, Maroko, Mexiko, NÏmecko, Norsko, nový Zéland, Peru, Polsko, Portugalsko, Rakousko, Saúdská Arábie, Spojené arabské emiráty, Švédsko, Švýcarsko, Tunisko, Turecko, Velká Británie, ÿecko
Stabilita roztoků   injekce   Stabilita roztoků : Ciclosporin     
Obal RozpouötÏdlo Koncentrace Teplota Uchovávání Trvání stability Odkazy
Sklo Chlorid sodný 0,9% 2 mg/ml 24°C S nebo bez svÏtla
12 Hodina
454
Úroveň zkoušky D

Sklo GlukÛza 5% 2 mg/ml 24°C SvÏtlo
48 Hodina
471
Úroveň zkoušky D

Sklo GlukÛza 5% 2 mg/ml 24°C S nebo bez svÏtla
24 Hodina
454
Úroveň zkoušky D

Sklo GlukÛza 5% 2 mg/ml 6°C Chráněno před světlem
48 Hodina
471
Úroveň zkoušky D

Polyoleofin Chlorid sodný 0,9% 0,2 mg/ml 23-27°C Nespecifikováno
14 Den
3229
Úroveň zkoušky A+

Polyoleofin Chlorid sodný 0,9% 2,5 mg/ml 23-27°C Nespecifikováno
14 Den
3229
Úroveň zkoušky A+

Polyoleofin GlukÛza 5% 0,2 mg/ml 23-27°C Nespecifikováno
14 Den
3229
Úroveň zkoušky A+

Polyoleofin GlukÛza 5% 2,5 mg/ml 23-27°C Nespecifikováno
14 Den
3229
Úroveň zkoušky A+

Ethylen vinyl acetát Chlorid sodný 0,9% 0,2 mg/ml 25°C Nespecifikováno
7 Den
3476
Úroveň zkoušky B+

Ethylen vinyl acetát Chlorid sodný 0,9% 2,5 mg/ml 25°C Nespecifikováno
14 Den
3476
Úroveň zkoušky B+

Ethylen vinyl acetát GlukÛza 5% 0,2 mg/ml 25°C Nespecifikováno
7 Den
3476
Úroveň zkoušky B+

Ethylen vinyl acetát GlukÛza 5% 2,5 mg/ml 25°C Nespecifikováno
14 Den
3476
Úroveň zkoušky B+


  Mentions Légales