آخر تحديث :
18/03/2026
مخفض المناعة   Ciclosporin  
حقن
المراهم عن طريق الفم  قطرات العين
الاستقرار في حلول استقرار مخاليط العوامل التي تؤثر على الاستقرار التوافق طريقة التعاطي مراجع pdf
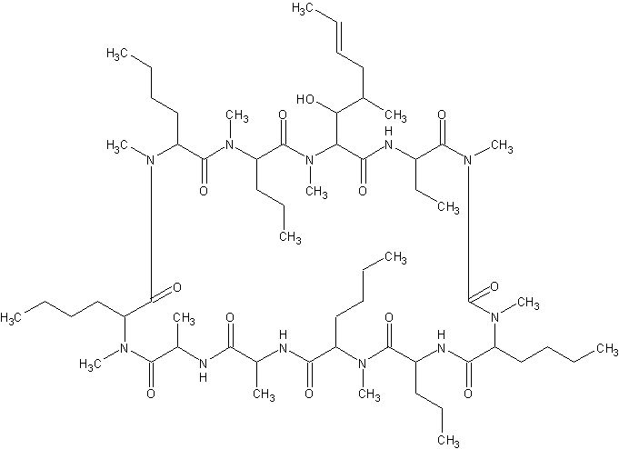
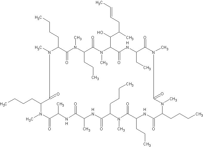
   التركيب الكيميائي  

حجز الاسم التجاري   حجز الاسم التجاري     

تحذير الأسماء التجاريه المختلفه قد تحتوي علي محتوي إضافات مختلفة حسب الدوله و المعمل

Cyclosporine الولايات المتحدة, كندا
Graftin الهند
Sandimmum أستراليا, ألمانيا, أيسلندا, إسبانيا, إيران, إيطاليا, الأرجنتين, الإمارات العربية المتحدة, البرتغال, الدنمارك, السويد, العربية السعودية, المغرب, المكسيك, النرويج, النمسا, ايرلندا, بريطانيا العظمي, بلجيكا, بولندا, بيرو, تركيا, تشيلي, تونس, زيلاندا الجديدة, سويسرا, فنلندا, كولومبيا, لوكسمبورغ, ماليزيا, هنغاريا, يونان
الاستقرار في حلول   حقن   الاستقرار في حلول : Ciclosporin     
حاوية مذيب تركيز درجة الحرارة تخزين مدة الاستقرار مراجع
زجاج كلوريد الصوديوم 0.9% 2 mg/ml 24°C مع أو بدون ضوء
12 ساعة
454
D مستوى الأدلة

زجاج الجلوكوز %5 2 mg/ml 24°C ضوء
48 ساعة
471
D مستوى الأدلة

زجاج الجلوكوز %5 2 mg/ml 24°C مع أو بدون ضوء
24 ساعة
454
D مستوى الأدلة

زجاج الجلوكوز %5 2 mg/ml 6°C بعيدا عن الضوء
48 ساعة
471
D مستوى الأدلة

البولي فين كلوريد الصوديوم 0.9% 0,2 mg/ml 23-27°C لم يتم تحديد
14 يوم
3229
 A+ مستوى الأدلة

البولي فين كلوريد الصوديوم 0.9% 2,5 mg/ml 23-27°C لم يتم تحديد
14 يوم
3229
 A+ مستوى الأدلة

البولي فين الجلوكوز %5 0,2 mg/ml 23-27°C لم يتم تحديد
14 يوم
3229
 A+ مستوى الأدلة

البولي فين الجلوكوز %5 2,5 mg/ml 23-27°C لم يتم تحديد
14 يوم
3229
 A+ مستوى الأدلة

الإثيلين خلات الفينيل كلوريد الصوديوم 0.9% 0,2 mg/ml 25°C لم يتم تحديد
7 يوم
3476
B+ مستوى الأدلة

الإثيلين خلات الفينيل كلوريد الصوديوم 0.9% 2,5 mg/ml 25°C لم يتم تحديد
14 يوم
3476
B+ مستوى الأدلة

الإثيلين خلات الفينيل الجلوكوز %5 0,2 mg/ml 25°C لم يتم تحديد
7 يوم
3476
B+ مستوى الأدلة

الإثيلين خلات الفينيل الجلوكوز %5 2,5 mg/ml 25°C لم يتم تحديد
14 يوم
3476
B+ مستوى الأدلة


  Mentions Légales