Poslední aktualizace :
18/03/2026
Imunosupresantas   Ciclosporin  
Įpurškimas
Akių lašai Geriamas tirpalas Tepalai
Tirpalų stabilumas Mišinių stabilumas Stabilumą lemiantys veiksniai Suderinamumas Leidimo būdai Bibliografija pdf
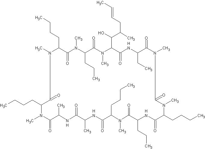
   Cheminė sandara  

Prekinis pavadinimas   Prekinis pavadinimas     

Trade names are indicative and excipients composition can be different depending on the country and manufacturers

Cyclosporine Jungtinės Amerikos Valstijos, Kanada
Graftin Indija
Sandimmum Airija, Argentina, Australija, Austrija, Belgija, Čilė, Danija, Didžioji Britanija, Graikija, Iranas, Islandija, Ispanija, Italija, Jungtiniai Arabų Emyratai, Kolumbija, Lenkija, Liuksemburgas, Malaizija, Marokas, Meksikas, Naujojoje Zelandijoje, Norvegija, Peru, Portugalija, Saudo Arabija, Suomija, Švedija, Šveicarija, Tunisas, Turkija, Vengrija, Vokietija
Tirpalų stabilumas   Įpurškimas   Tirpalų stabilumas : Ciclosporin     
Pakuotė Tirpiklis Koncentracija Temperatūra Laikymas Stabilumo trukmė Nuorodos
Stiklas Natrio chloridas 0,9% 2 mg/ml 24°C Ir šviesoje, ir tamsoje
12 Valanda
454
Bandymo lygis D

Stiklas Gliukozė 5% 2 mg/ml 24°C Šviesa
48 Valanda
471
Bandymo lygis D

Stiklas Gliukozė 5% 2 mg/ml 24°C Ir šviesoje, ir tamsoje
24 Valanda
454
Bandymo lygis D

Stiklas Gliukozė 5% 2 mg/ml 6°C Apsaugotas nuo šviesos
48 Valanda
471
Bandymo lygis D

Poliolefinas Natrio chloridas 0,9% 0,2 mg/ml 23-27°C Nenurodyta
14 Diena
3229
Bandymo lygis A+

Poliolefinas Natrio chloridas 0,9% 2,5 mg/ml 23-27°C Nenurodyta
14 Diena
3229
Bandymo lygis A+

Poliolefinas Gliukozė 5% 0,2 mg/ml 23-27°C Nenurodyta
14 Diena
3229
Bandymo lygis A+

Poliolefinas Gliukozė 5% 2,5 mg/ml 23-27°C Nenurodyta
14 Diena
3229
Bandymo lygis A+

Etileno vinilacetatas Natrio chloridas 0,9% 0,2 mg/ml 25°C Nenurodyta
7 Diena
3476
Bandymo lygis B+

Etileno vinilacetatas Natrio chloridas 0,9% 2,5 mg/ml 25°C Nenurodyta
14 Diena
3476
Bandymo lygis B+

Etileno vinilacetatas Gliukozė 5% 0,2 mg/ml 25°C Nenurodyta
7 Diena
3476
Bandymo lygis B+

Etileno vinilacetatas Gliukozė 5% 2,5 mg/ml 25°C Nenurodyta
14 Diena
3476
Bandymo lygis B+


  Mentions Légales