Ultimele actualizari :
18/03/2026
Imunosupresor   Ciclosporin  
Injectabil
colir Soluţie orală Unguente
Stabilitatea in solutie Stabilitatea in amestec Factorii care influenteaza stabilitatea Compatibilitate Microunde Bibliografie pdf
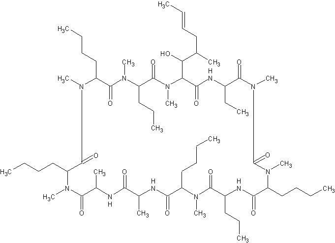
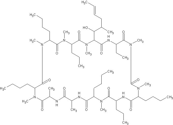
   Formula chimica  

Denumirea comerciala   Denumirea comerciala     

Trade names are indicative and excipients composition can be different depending on the country and manufacturers

Cyclosporine Canada, SUA
Graftin India
Sandimmum Arabia Saudita, Argentina, Australia, Austria, Belgia, Chilli, Columbia, Danemarca, Elvetia, Emiratele Arabe Unite, Finlanda, Germania, Grecia, Iran, Irlanda, Islanda, Italia, Luxemburg, Malaezia, Marea Britanie, Maroc, Mexic, Norvegia, noua Zeelandă, Peru, Polonia, Portugalia, Spania, Suedia, Tunisia, Turcia, Ungaria
Stabilitatea in solutie   Injectabil   Stabilitatea in solutie : Ciclosporin     
Continut Solvent Concentratie Temperatura Conservare Durata stabilității Bibiografie
sticla clorura de sodiu 0,9% 2 mg/ml 24°C In prezenta sau absenta luminii
12 Ora
454
Nivel de evidență D

sticla Glucoza 5% 2 mg/ml 24°C Lumina
48 Ora
471
Nivel de evidență D

sticla Glucoza 5% 2 mg/ml 24°C In prezenta sau absenta luminii
24 Ora
454
Nivel de evidență D

sticla Glucoza 5% 2 mg/ml 6°C Ferit de lumina
48 Ora
471
Nivel de evidență D

poliolefine clorura de sodiu 0,9% 0,2 mg/ml 23-27°C Neprecizat
14 Ziua
3229
Nivel de evidență A+

poliolefine clorura de sodiu 0,9% 2,5 mg/ml 23-27°C Neprecizat
14 Ziua
3229
Nivel de evidență A+

poliolefine Glucoza 5% 0,2 mg/ml 23-27°C Neprecizat
14 Ziua
3229
Nivel de evidență A+

poliolefine Glucoza 5% 2,5 mg/ml 23-27°C Neprecizat
14 Ziua
3229
Nivel de evidență A+

etilen vinil acetat clorura de sodiu 0,9% 0,2 mg/ml 25°C Neprecizat
7 Ziua
3476
Nivel de evidență B+

etilen vinil acetat clorura de sodiu 0,9% 2,5 mg/ml 25°C Neprecizat
14 Ziua
3476
Nivel de evidență B+

etilen vinil acetat Glucoza 5% 0,2 mg/ml 25°C Neprecizat
7 Ziua
3476
Nivel de evidență B+

etilen vinil acetat Glucoza 5% 2,5 mg/ml 25°C Neprecizat
14 Ziua
3476
Nivel de evidență B+


  Mentions Légales