Siste oppdatering :
03/02/2026
Immunosuppressiva   Ciclosporin  
Injeksjon
Mikstur Salver Øyedråper
Oppløsningsstabilitet Stabilitet i blandinger Faktorer som påvirker stabiliteten Kompatibilitet Administrasjonsmåte Referanser pdf
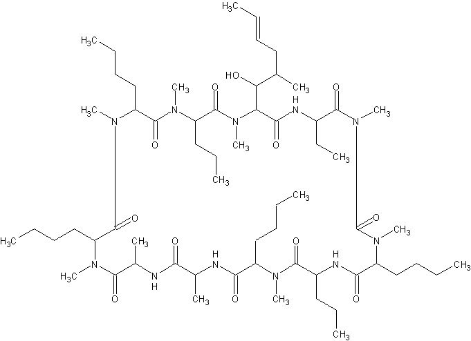
   Kjemisk struktur  

Handelsnavn   Handelsnavn     

Handelsnavn er veiledende og sammensetning av hjelpestoffer kan være forskjellig avhengig av land og produsent

Cyclosporine Canada, USA
Graftin India
Sandimmum Argentina, Australia, Belgia, Chile, Colombia, Danmark, De forente arabiske emirater, Finland, Hellas, Iran, Irland, Island, Italia, Luxembourg, Malaysia, Marokko, Mexico, New Zealand, Norge, Peru, Polen, Portugal, Saudi-Arabia, Spania, Storbritannia, Sveits, Sverige, Tunisia, Tyrkia, Tyskland, Ungarn, Østerrike
Oppløsningsstabilitet   Injeksjon   Oppløsningsstabilitet : Ciclosporin     
Beholder Oppløsningsmiddel Konsentrasjon Temperatur Oppbevaring Varighet av stabilitet Referanser
Glass Natriumklorid 0,9 % 2 mg/ml 24°C Med eller uten lys
12 Tid
454
Bevisgrad D

Glass Glukose 5 % 2 mg/ml 24°C Lys
48 Tid
471
Bevisgrad D

Glass Glukose 5 % 2 mg/ml 24°C Med eller uten lys
24 Tid
454
Bevisgrad D

Glass Glukose 5 % 2 mg/ml 6°C Beskyttes mot lys
48 Tid
471
Bevisgrad D

Polyolefin Natriumklorid 0,9 % 0,2 mg/ml 23-27°C Ikke angitt
14 Dag
3229
Bevisgrad A +

Polyolefin Natriumklorid 0,9 % 2,5 mg/ml 23-27°C Ikke angitt
14 Dag
3229
Bevisgrad A +

Polyolefin Glukose 5 % 0,2 mg/ml 23-27°C Ikke angitt
14 Dag
3229
Bevisgrad A +

Polyolefin Glukose 5 % 2,5 mg/ml 23-27°C Ikke angitt
14 Dag
3229
Bevisgrad A +

Etylenvinylacetat Natriumklorid 0,9 % 0,2 mg/ml 25°C Ikke angitt
7 Dag
3476
Bevisgrad B+

Etylenvinylacetat Natriumklorid 0,9 % 2,5 mg/ml 25°C Ikke angitt
14 Dag
3476
Bevisgrad B+

Etylenvinylacetat Glukose 5 % 0,2 mg/ml 25°C Ikke angitt
7 Dag
3476
Bevisgrad B+

Etylenvinylacetat Glukose 5 % 2,5 mg/ml 25°C Ikke angitt
14 Dag
3476
Bevisgrad B+


  Mentions Légales