Last update :
18/03/2026
Immunosuppressant   Ciclosporin  
injection
Eye-drops Ointments Oral solution
Stability in solutions Stability of mixtures Factors which affect stability Compatibility Route of administration References pdf
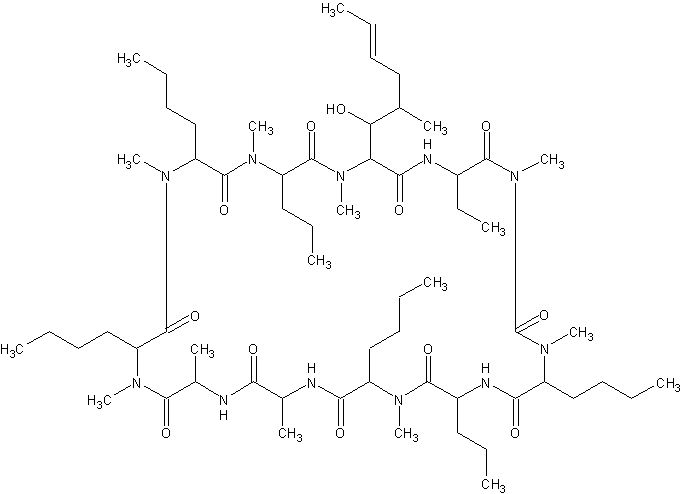
   Chemical structure  

Tradename   Tradename     

Trade names are indicative and excipients composition can be different depending on the country and manufacturers

Cyclosporine Canada, United States of America
Graftin India
Sandimmum Argentina, Australia, Austria, Belgium, Chile, Colombia, Denmark, Finland, Germany, Great Britain, Greece, Hungary, Iceland, Iran, Ireland, Italy, Luxembourg, Malaysia, Mexico, Morocco, New Zealand, Norway, Peru, Poland, Portugal, Saudi Arabia, Spain, Sweden, Switzerland, Tunisia, Turkey, United Arab Emirates
Stability in solutions   injection   Stability in solutions : Ciclosporin     
Container Solvent Concentration Temperature Storage Duration of stability References
Glass Sodium chloride 0,9% 2 mg/ml 24°C With or without light
12 Hour
454
Level of evidence D

Glass Glucose 5% 2 mg/ml 24°C Light
48 Hour
471
Level of evidence D

Glass Glucose 5% 2 mg/ml 24°C With or without light
24 Hour
454
Level of evidence D

Glass Glucose 5% 2 mg/ml 6°C Protect from light
48 Hour
471
Level of evidence D

Polyolefine Sodium chloride 0,9% 0,2 mg/ml 23-27°C Not specified
14 Day
3229
Level of evidence A+

Polyolefine Sodium chloride 0,9% 2,5 mg/ml 23-27°C Not specified
14 Day
3229
Level of evidence A+

Polyolefine Glucose 5% 0,2 mg/ml 23-27°C Not specified
14 Day
3229
Level of evidence A+

Polyolefine Glucose 5% 2,5 mg/ml 23-27°C Not specified
14 Day
3229
Level of evidence A+

Ethylene vinyl acetate Sodium chloride 0,9% 0,2 mg/ml 25°C Not specified
7 Day
3476
Level of evidence B+

Ethylene vinyl acetate Sodium chloride 0,9% 2,5 mg/ml 25°C Not specified
14 Day
3476
Level of evidence B+

Ethylene vinyl acetate Glucose 5% 0,2 mg/ml 25°C Not specified
7 Day
3476
Level of evidence B+

Ethylene vinyl acetate Glucose 5% 2,5 mg/ml 25°C Not specified
14 Day
3476
Level of evidence B+


  Mentions Légales