Останнє оновлення :
18/03/2026
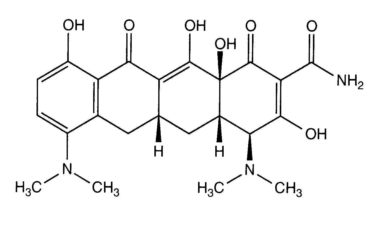
Антибіотик   Minocycline hydrochloride  
ін'єкція
Розчин для перорального застосування
Стійкість в розчинах Стійкість сумішей Фактори, що впливають на стабільність Сумісність Шлях введення Список літератури pdf
   Хімічна структура  

Торгова назва   Торгова назва     

Торгові назви є орієнтовними, а склад допоміжних речовин може бути різним залежно від країни та виробника

Minocin Сполучені Штати Америки
Стійкість в розчинах   ін'єкція   Стійкість в розчинах : Minocycline hydrochloride     
Контейнер Розчинник Концентрація температура Зберігання Тривалість стабільності Список літератури
Полівініл хлорид Натрію хлорид 0,9% 0,1 mg/ml 24°C Не визначено
7 День
263
Рівень доказовості B+

Полівініл хлорид Натрію хлорид 0,9% 0,1 mg/ml 4°C Не визначено
7 День
263
Рівень доказовості B+

Полівініл хлорид Глюкоза 5% 0,1 mg/ml 24°C Не визначено
7 День
263
Рівень доказовості B+

Полівініл хлорид Глюкоза 5% 0,1 mg/ml 4°C Не визначено
7 День
263
Рівень доказовості B+


  Mentions Légales