Zadnji put ažurirano :
27/11/2025
antibiotik   Minocycline hydrochloride  
injekcija
oralna otopina
Stabilizacija rješenja Stabilnost mješavine Stabilizacijski faktor Kompatibilnosti način davanja lijeka Bibliografija pdf
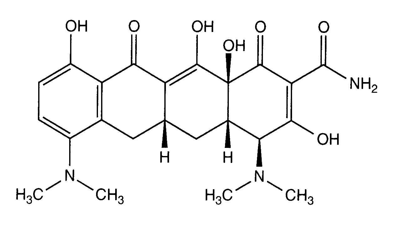
   Kemijska struktura  

Nekomercijalni   Nekomercijalni     

Zaštićeni nazivi su indikativni i sastav ekscipijensa može biti različit ovisno o državi i laboratorijima

Minocin S A D
Stabilizacija rješenja   injekcija   Stabilizacija rješenja : Minocycline hydrochloride     
Kontejner sredstvo za rastapanje koncentracija temperatura Konzerviranje Trajanje stabilnosti Bibliografija
polivinilklorid natrijumkorid 0,9% 0,1 mg/ml 24°C nespecifičan
7 dan
263
Razina dokaza B+

polivinilklorid natrijumkorid 0,9% 0,1 mg/ml 4°C nespecifičan
7 dan
263
Razina dokaza B+

polivinilklorid glukoza 5% 0,1 mg/ml 24°C nespecifičan
7 dan
263
Razina dokaza B+

polivinilklorid glukoza 5% 0,1 mg/ml 4°C nespecifičan
7 dan
263
Razina dokaza B+


  Mentions Légales