Viimeisin päivitys :
18/03/2026
Antibiootit   Minocycline hydrochloride  
Injektioneste
Oraaliliuos
Stabilius liuoksessa Stabilius seoksissa Tekijät, jotka vaikuttavat stabiliuteen Yhteensopivuus Antotapa Viitteet pdf
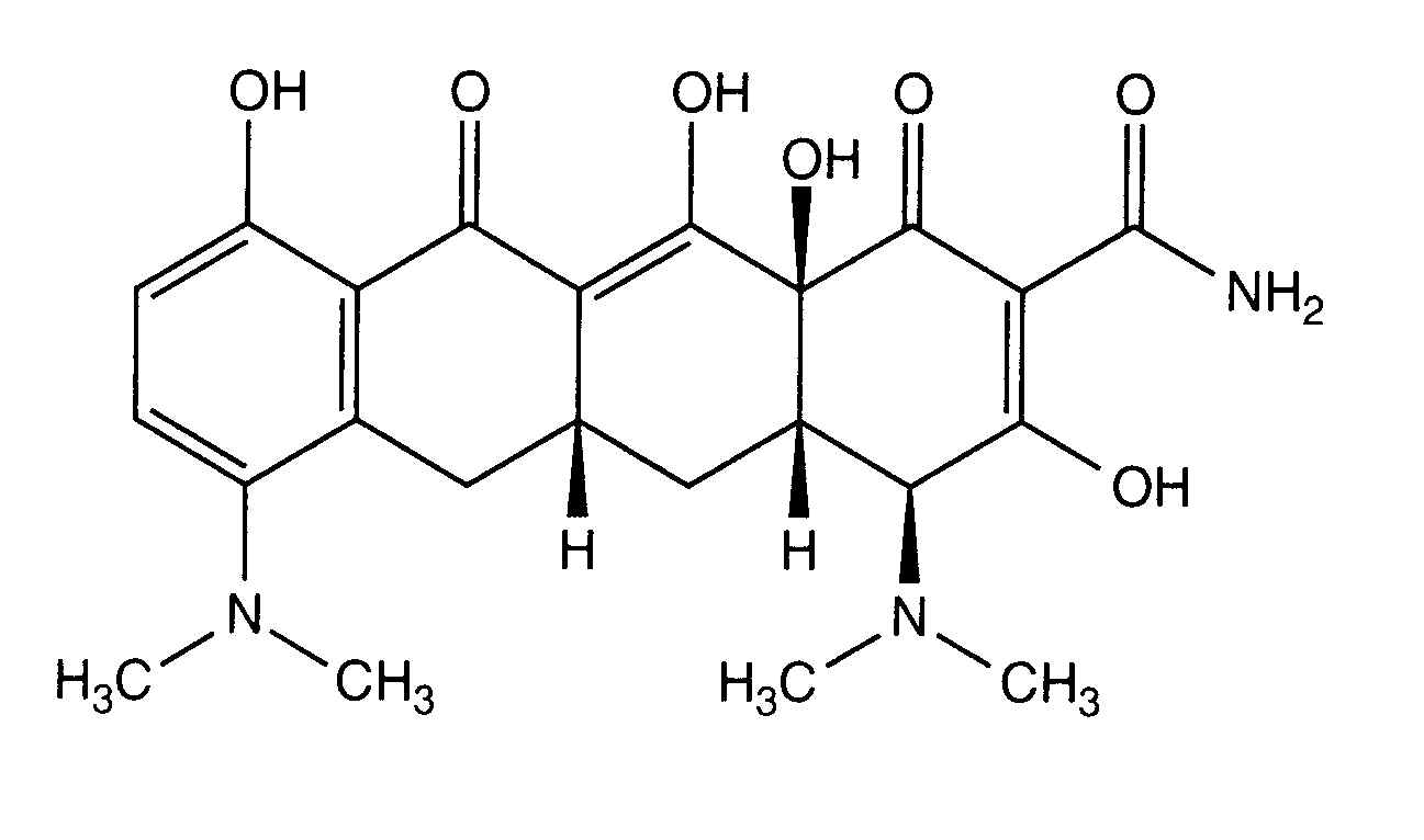
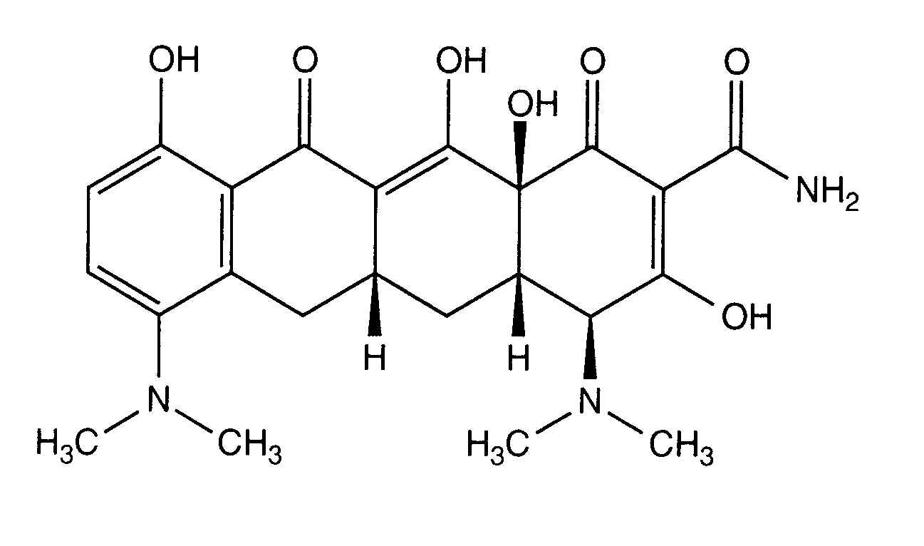
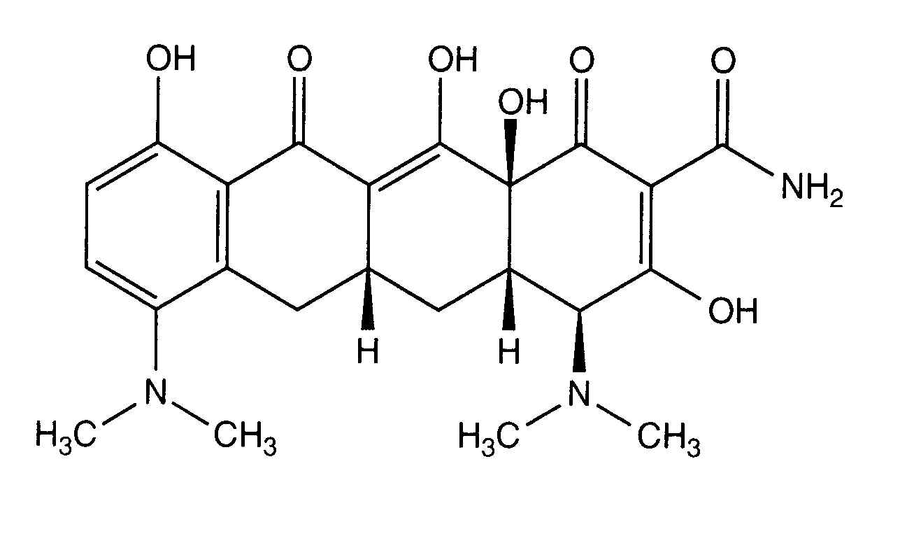
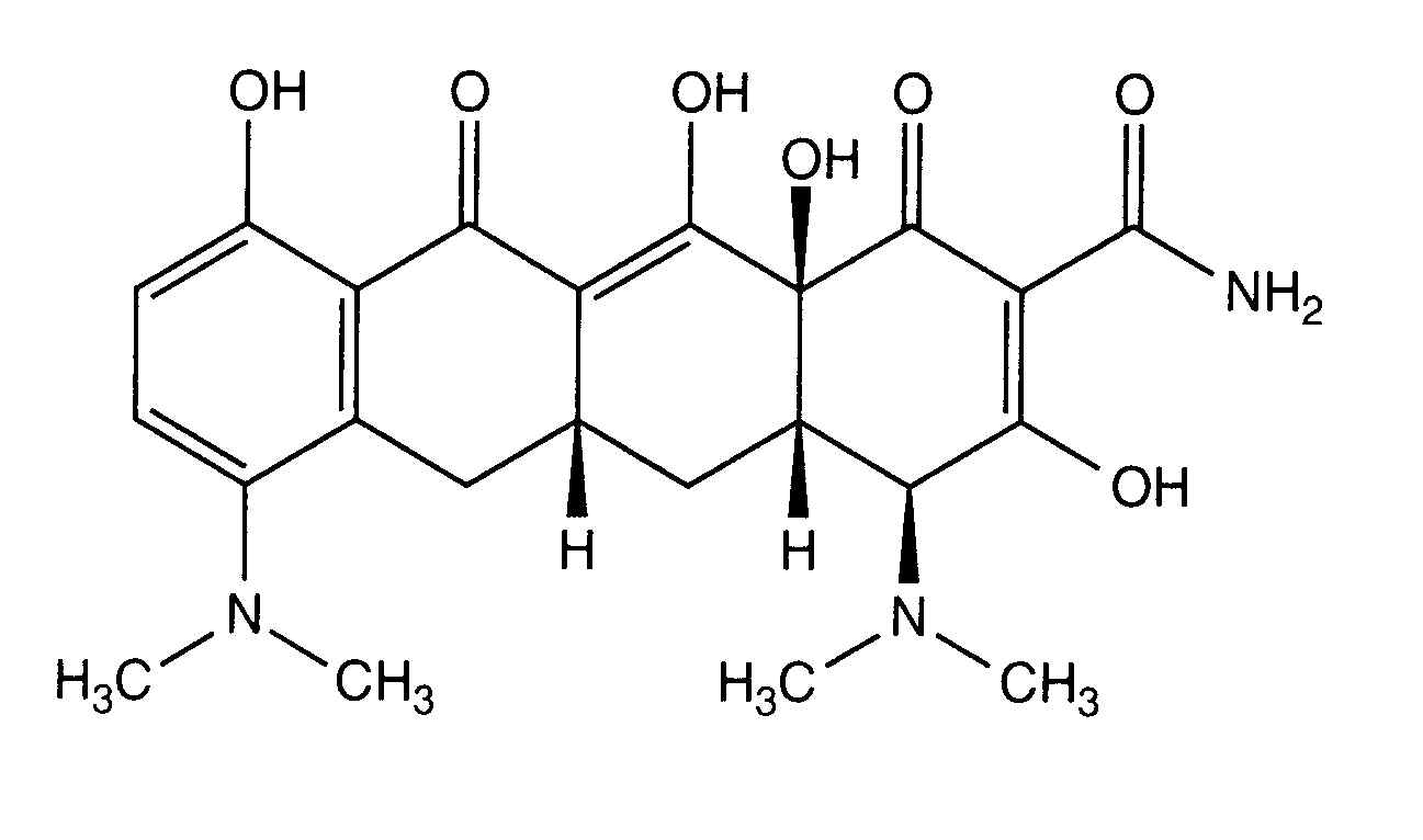
   Kemiallinen rakenne  

Kauppanimi   Kauppanimi     

Trade names are indicative and excipients composition can be different depending on the country and manufacturers

Minocin Yhdysvallat
Stabilius liuoksessa   Injektioneste   Stabilius liuoksessa : Minocycline hydrochloride     
Astia Liuotin Konsentraatio Lämpötila Säilytys Vakauden kesto Viitteet
Polyvinyylikloridi Natriumkloridi 0,9% 0,1 mg/ml 24°C Ei määritetty
7 Päivä
263
Näytön laajuus B+

Polyvinyylikloridi Natriumkloridi 0,9% 0,1 mg/ml 4°C Ei määritetty
7 Päivä
263
Näytön laajuus B+

Polyvinyylikloridi Glukoosi 5% 0,1 mg/ml 24°C Ei määritetty
7 Päivä
263
Näytön laajuus B+

Polyvinyylikloridi Glukoosi 5% 0,1 mg/ml 4°C Ei määritetty
7 Päivä
263
Näytön laajuus B+


  Mentions Légales