zadnja posodobitev :
18/03/2026
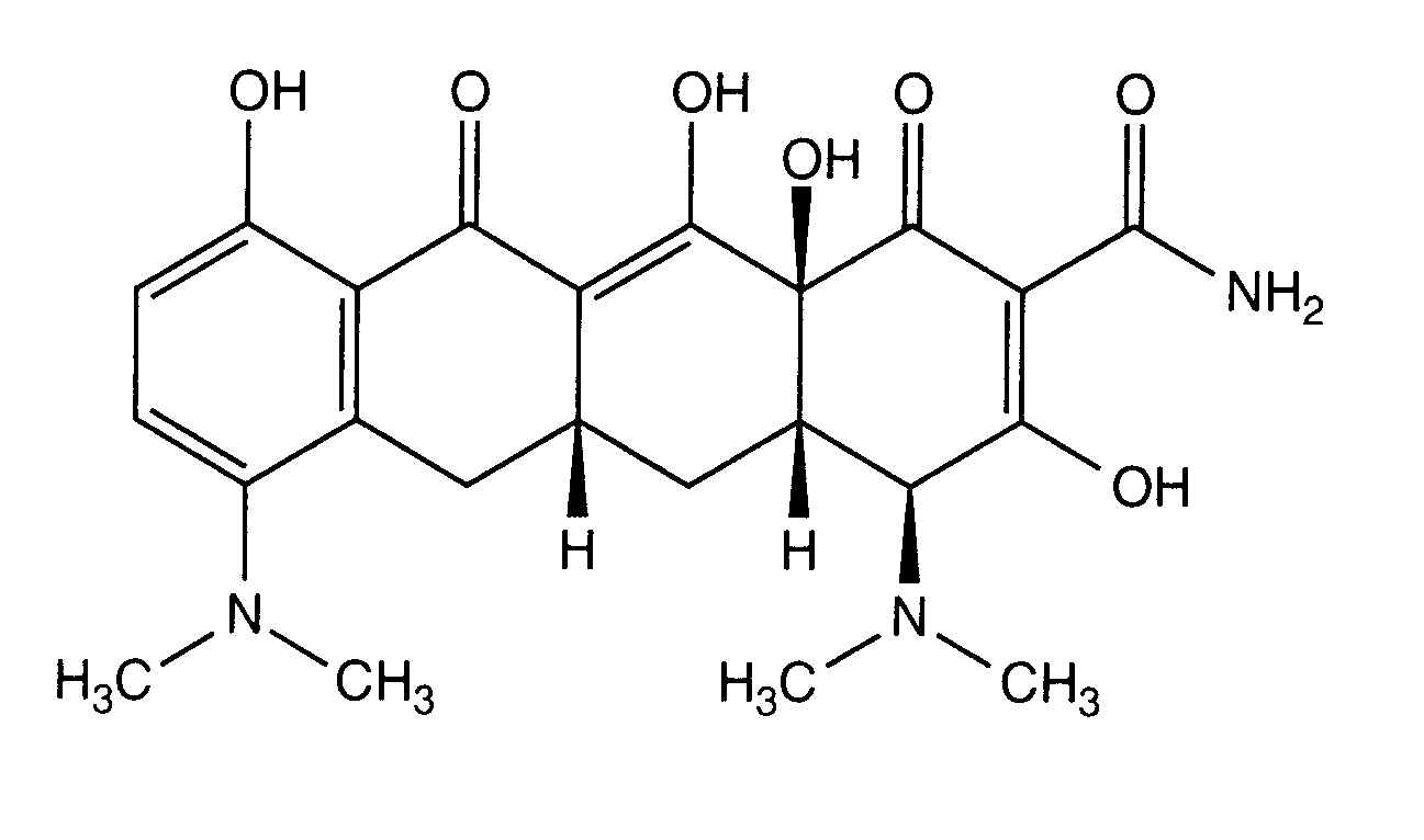
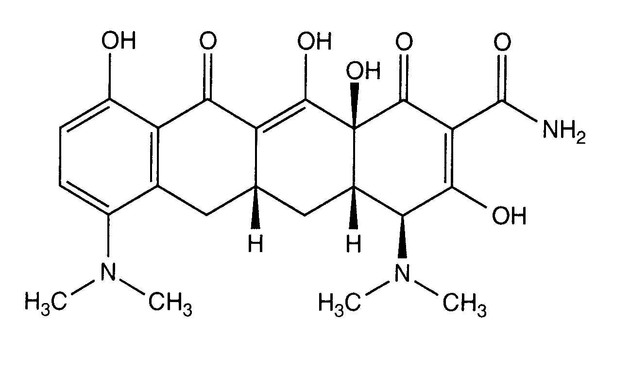
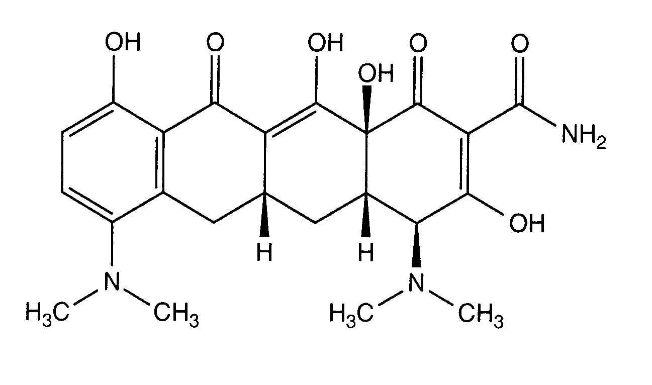
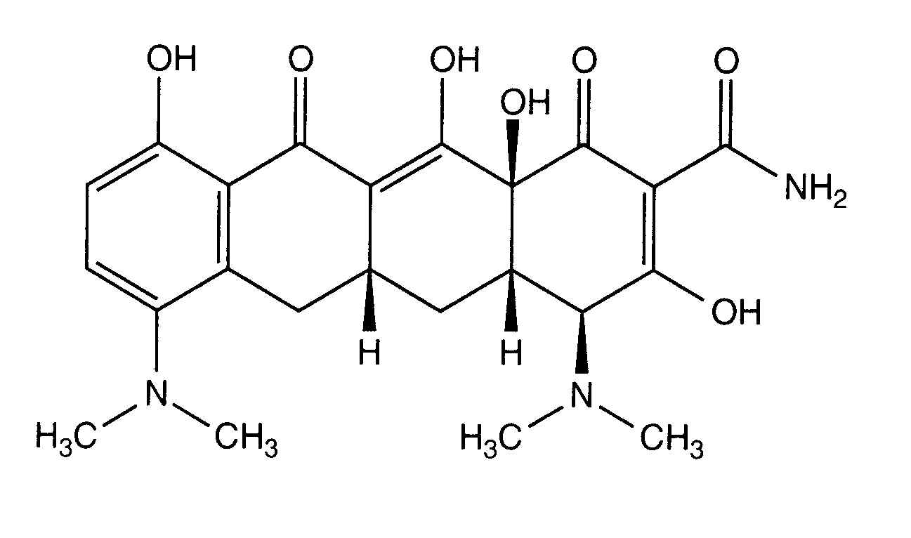
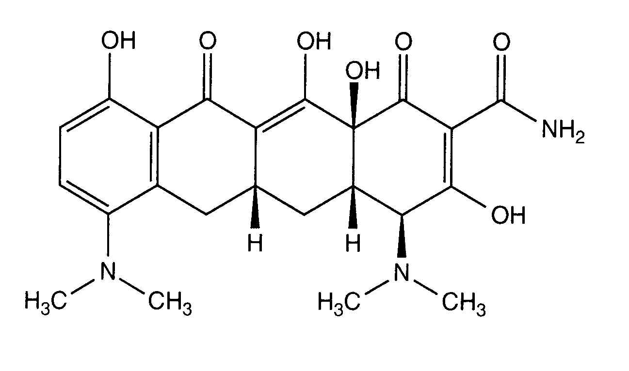
Antibiotik   Minocycline hydrochloride  
Brizgalka
Peroralna raztopina
Stabilnost raztopine Stabilnost mešanice Faktorji, ki vplivajo na stabilnost Kompatibilnost način aplikacije Viri pdf
   Kemična formula  

Lastniško ime   Lastniško ime     

Sestava pomožnih snovi je med paralelami lahko različna

Minocin Združene države Amerike
Stabilnost raztopine   Brizgalka   Stabilnost raztopine : Minocycline hydrochloride     
Vsebnik Topilo Koncentracija Temperatura Shranjevanje Trajanje stabilnosti Viri
Polivinil klorid Natrijev klorid 0,9% 0,1 mg/ml 24°C Nedoločeno
7 Dan
263
 Stopnja dokaza B+

Polivinil klorid Natrijev klorid 0,9% 0,1 mg/ml 4°C Nedoločeno
7 Dan
263
 Stopnja dokaza B+

Polivinil klorid Glukoza 5% 0,1 mg/ml 24°C Nedoločeno
7 Dan
263
 Stopnja dokaza B+

Polivinil klorid Glukoza 5% 0,1 mg/ml 4°C Nedoločeno
7 Dan
263
 Stopnja dokaza B+


  Mentions Légales