Poslední aktualizace :
18/03/2026
Antibiotikum   Minocycline hydrochloride  
injekce
Perorální roztok
Stabilita roztoků Stabilita směsí Faktory ovlivňující stabilitu Kompatibilita Způsoby aplikace Odkazy pdf
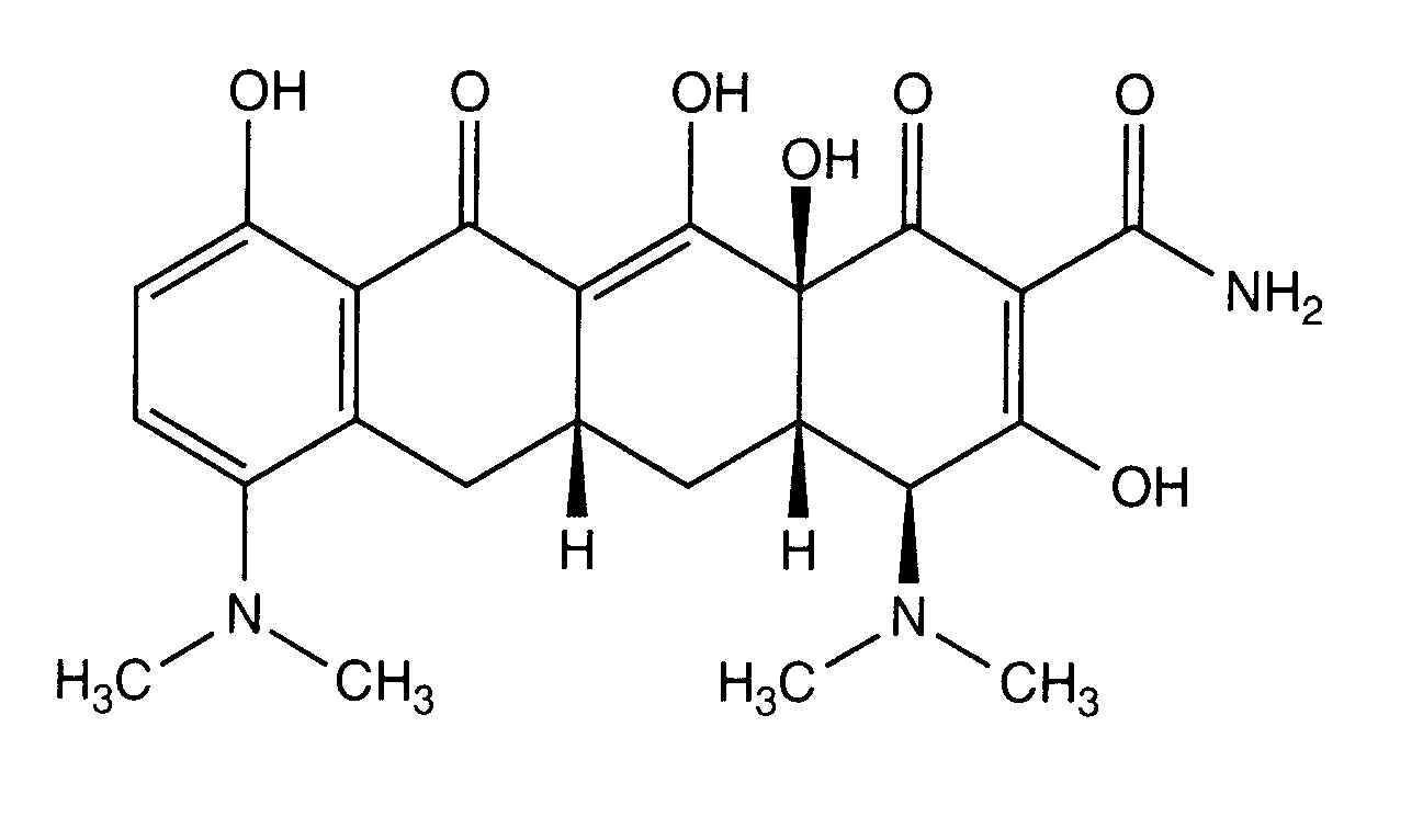
   Chemický vzorec  

Obchodní název   Obchodní název     

Trade names are indicative and excipients composition can be different depending on the country and manufacturers

Minocin USA
Stabilita roztoků   injekce   Stabilita roztoků : Minocycline hydrochloride     
Obal RozpouötÏdlo Koncentrace Teplota Uchovávání Trvání stability Odkazy
Polyvinyl chlorid Chlorid sodný 0,9% 0,1 mg/ml 24°C Nespecifikováno
7 Den
263
Úroveň zkoušky B+

Polyvinyl chlorid Chlorid sodný 0,9% 0,1 mg/ml 4°C Nespecifikováno
7 Den
263
Úroveň zkoušky B+

Polyvinyl chlorid GlukÛza 5% 0,1 mg/ml 24°C Nespecifikováno
7 Den
263
Úroveň zkoušky B+

Polyvinyl chlorid GlukÛza 5% 0,1 mg/ml 4°C Nespecifikováno
7 Den
263
Úroveň zkoušky B+


  Mentions Légales