Letztes “update” :
18/03/2026
Antibiotikum   Minocycline hydrochloride  
Injektion
Lösung zum Einnehmen
Stabilität der Lösung Gemengestabilität Stabilitätbeeinflussende Faktoren Kompatibilitäten Applikationsart Literaturverzeichnis pdf
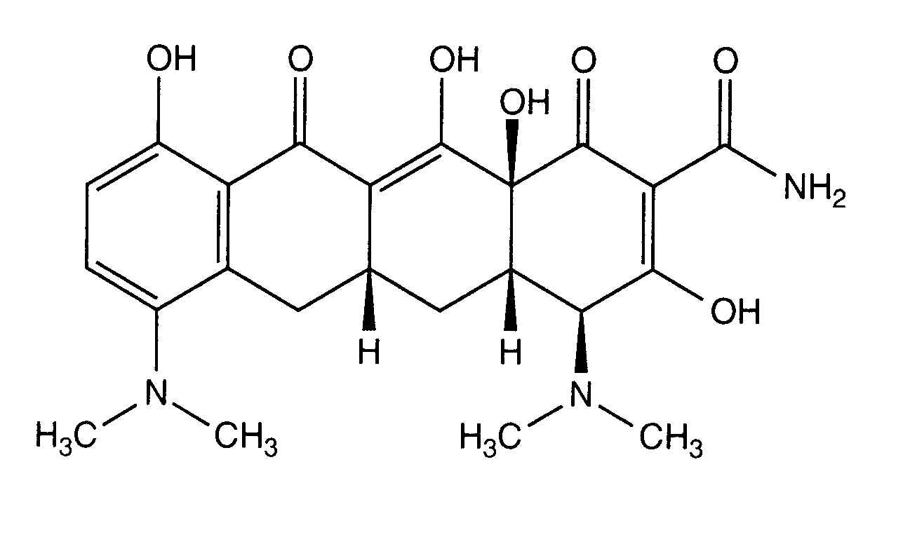
   Chemische Struktur  

Handelsmarke   Handelsmarke     

Handelsnamen sind als beispielhaft anzusehen. Sonstige Bestandteile können je nach Hersteller oder Land verschieden sein

Minocin Vereinigte Staaten von Amerika
Stabilität der Lösung   Injektion   Stabilität der Lösung : Minocycline hydrochloride     
Behälter Lösungsmittel Konzentration Temperatur Konservierung Dauer der Stabilität Literaturverzeichnis
Polyvinylchlorid 0,9% Natriumchlorid 0,1 mg/ml 24°C Nicht genau angegeben
7 Tag
263
Evidenzgrad B+

Polyvinylchlorid 0,9% Natriumchlorid 0,1 mg/ml 4°C Nicht genau angegeben
7 Tag
263
Evidenzgrad B+

Polyvinylchlorid 5% Glucose 0,1 mg/ml 24°C Nicht genau angegeben
7 Tag
263
Evidenzgrad B+

Polyvinylchlorid 5% Glucose 0,1 mg/ml 4°C Nicht genau angegeben
7 Tag
263
Evidenzgrad B+


  Mentions Légales