آخر تحديث :
18/03/2026
مضاد حيوي   Minocycline hydrochloride  
حقن
عن طريق الفم
الاستقرار في حلول استقرار مخاليط العوامل التي تؤثر على الاستقرار التوافق طريقة التعاطي مراجع pdf
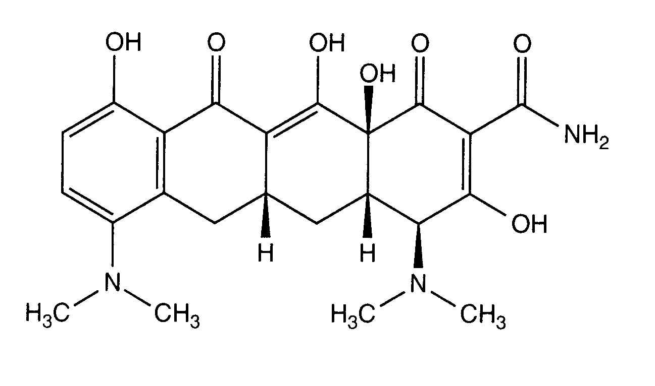
   التركيب الكيميائي  

حجز الاسم التجاري   حجز الاسم التجاري     

تحذير الأسماء التجاريه المختلفه قد تحتوي علي محتوي إضافات مختلفة حسب الدوله و المعمل

Minocin الولايات المتحدة
الاستقرار في حلول   حقن   الاستقرار في حلول : Minocycline hydrochloride     
حاوية مذيب تركيز درجة الحرارة تخزين مدة الاستقرار مراجع
البولي فينيل كلوريد كلوريد الصوديوم 0.9% 0,1 mg/ml 24°C لم يتم تحديد
7 يوم
263
B+ مستوى الأدلة

البولي فينيل كلوريد كلوريد الصوديوم 0.9% 0,1 mg/ml 4°C لم يتم تحديد
7 يوم
263
B+ مستوى الأدلة

البولي فينيل كلوريد الجلوكوز %5 0,1 mg/ml 24°C لم يتم تحديد
7 يوم
263
B+ مستوى الأدلة

البولي فينيل كلوريد الجلوكوز %5 0,1 mg/ml 4°C لم يتم تحديد
7 يوم
263
B+ مستوى الأدلة


  Mentions Légales