Senaste uppdateringen :
27/11/2025
Vasodilaterare   Isosorbide dinitrate  
injektion
Lösningars stabilitet Stabilitet i blandningar Faktorer som påverkar stabiliteten Kompatibilitet Administreringssätt Hänvisningar pdf
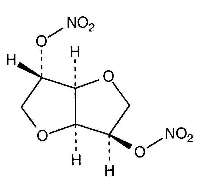
   Molekylstruktur  

Varunamn   Varunamn     

Angivna handelsnamn på läkemedel är enbart vägledande då formulering inklusive hjälpämnen kan variera mellan länder och tillverkare

Angsobide Malaysia
Cedocard Nederländerna
Diniket Italien
Dinit Storbritannien
Ekilbran Mexiko
Isoket Egypten, Förenade Arabemiraten, Irland, Luxemburg, Malaysia, Mexiko, Österrike, Peru, Polen, Portugal, Saudi-Arabien, Schweiz, Storbritannien, Venezuela
Isonit Ecuador, Peru
Nitrosid Finland
Nitrosorbide Italien
Risordan Frankrike
Zanisor Mexiko
Hänvisningar   injektion   Hänvisningar : Isosorbide dinitrate  
Typ Publikation
190 tidningen Lee MG.
Sorption of four drugs to polyvinyl chloride and polybutadiene intravenous administration sets.
Am J Hosp Pharm 1986 ; 43: 1945-1950.
350 tidningen Martens HJ, De Goede PN, Van Loenen AC.
Sorption of various drugs in polyvinyl chloride, glass, and polyethylene-lined infusion containers.
Am J Hosp Pharm 1990 ; 47: 369-373.
1067 tidningen Zeidler C, Dettmering D, Schrammel W, Spieteller M.
Compatibility of various drugs used in intensive care medicine in polyethylene, PVC and glass infusion containers.
EJHP 1999 ; 5: 106-110.
1102 tidningen Cossum PA, Roberts MS.
Availability of isosorbide dinitrate, diazepam and chlormethiazole, from i.v. delivery systems.
Eur J Clin Pharmacol 1981 ; 19: 181-185.
1147 tidningen De Muynck C, Colardyn F, Remon JP.
Influence of intravenous administration set composition on the sorption of isosorbide dinitrate.
J Pharm Pharmacol 1991 ; 43: 601-604.
1148 tidningen De Muynck C, Remon JP, Colardyn F.
The sorption of isosorbide dinitrate to intravenous delivery systems.
J Pharm Pharmacol 1988 ; 40: 601-604.
1161 tidningen Allwood MC.
Sorption of parenteral nitrates during administration with a syringe pump and extension set.
Int J Pharm 1987 ; 39: 183-188.
1232 tidningen Beatson C, Taylor A.
A physical compatibility study of furosemide & flucloxacillin injections.
Br J Pharm Pract 1987 ; 9: 223-226, 236.
1332 tidningen Lee MG, Fenton-May V.
Absorption of isosorbide dinitrate by PVC infusion bags and administration sets.
J Clin Hosp Pharm 1981 ; 6: 209-211.
1468 tidningen Sautou V, Chopineau J, Gremeau I, Chevrier R, Bruneaux F.
Compatibility with medical plastics and stability of continuously and simultaneously infused isosorbide dinitrate and heparin.
Int J Pharm 1994 ; 107: 111-119.
2141 tidningen Barinian N, Chanteux H, Viaene E, Servais H, Tulkens PM.
Stability and compatibility study of cefepime in comparaison with ceftazidime for potential administration by continuous infusion under conditions pertinent to ambulatory treatment of cystic fibrosis patients and to administration in intensive care units.
J Antimicrob Chemother 2003 ; 51: 651-658.
2231 tidningen de Jongh R, Hens R, Basma V, mouton JW, Tulkens PM, Carryn S.
Continuous versus intermittent infusion of temocillin, a directed spectrum penicillin for intensive care patients with nosocomial pneumonia: stability, compatibility, population pharmacokinetic studies and breakpoint selection.
J Antimicrob Chemother 2008 ; 61, 2: 382-388.
3385 tidningen Raverdi V, Ampe E, Hecq JD, Tulkens PM.
Stability and compatibility of vancomycin for administration by continuous infusion.
J Antimicrob Chemother 2013 ; 68: 1179-1182.
4374 tidningen Lardinois B, Dimitriou A, Delcave C, Soumoy L, Jamart J, Bihin B, Hecq J-H, Galanti L.M.
Long-term Physicochemical Stability of Concentrated Solutions of Isosorbide Dinitrate in Polypropylene Syringes for Administration in the Intensive Care Unit.
Int J Pharm Compound 2020 ;24,1:64-68
4698 tidningen Ayari G, D'Huart E, Vigneron J, Demoré B.
Y-site compatibility of intravenous medications commonly used in intensive care units : laboratory tests on 75 mixtures involving nine main drugs.
Pharmaceutical Technology in Hospital Pharmacy 2022 ; 7(1): 20220002

  Mentions Légales