Ostatnia aktualizacja :
18/03/2026
Lek rozszerzający naczynia   Isosorbide dinitrate  
Injekcje
Trwałość roztworów Trwałość w mieszaninie Czynnik wpływający na trwałość Zgodność Sposób podania Bibliografia pdf
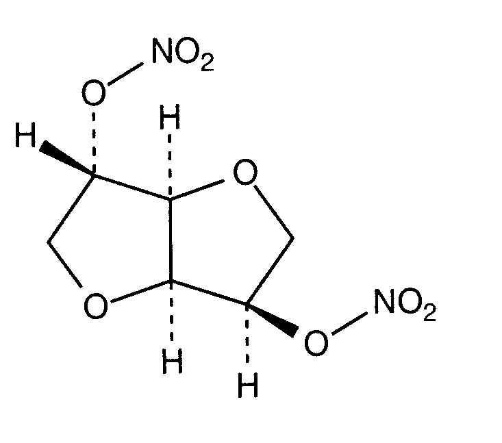
   Struktura chemiczna  

Nazwa handlowa   Nazwa handlowa     

Trade names are indicative and excipients composition can be different depending on the country and manufacturers

Angsobide Malezja
Cedocard Holandia
Diniket Włochy
Dinit Wielka Brytania
Ekilbran Meksyk
Isoket Arabia Saudyjska, Austria, Egipt, Irlandia, Luksemburg, Malezja, Meksyk, Peru, Polska, Portugalia, Szwajcaria, Wenezuela, Wielka Brytania, Zjednoczone Emiraty Arabskie
Isonit Ekwador, Peru
Nitrosid Finlandia
Nitrosorbide Włochy
Risordan Francja
Zanisor Meksyk
Bibliografia   Injekcje   Bibliografia : Isosorbide dinitrate  
typ publikacja
190 Czasopismo Lee MG.
Sorption of four drugs to polyvinyl chloride and polybutadiene intravenous administration sets.
Am J Hosp Pharm 1986 ; 43: 1945-1950.
350 Czasopismo Martens HJ, De Goede PN, Van Loenen AC.
Sorption of various drugs in polyvinyl chloride, glass, and polyethylene-lined infusion containers.
Am J Hosp Pharm 1990 ; 47: 369-373.
1067 Czasopismo Zeidler C, Dettmering D, Schrammel W, Spieteller M.
Compatibility of various drugs used in intensive care medicine in polyethylene, PVC and glass infusion containers.
EJHP 1999 ; 5: 106-110.
1102 Czasopismo Cossum PA, Roberts MS.
Availability of isosorbide dinitrate, diazepam and chlormethiazole, from i.v. delivery systems.
Eur J Clin Pharmacol 1981 ; 19: 181-185.
1147 Czasopismo De Muynck C, Colardyn F, Remon JP.
Influence of intravenous administration set composition on the sorption of isosorbide dinitrate.
J Pharm Pharmacol 1991 ; 43: 601-604.
1148 Czasopismo De Muynck C, Remon JP, Colardyn F.
The sorption of isosorbide dinitrate to intravenous delivery systems.
J Pharm Pharmacol 1988 ; 40: 601-604.
1161 Czasopismo Allwood MC.
Sorption of parenteral nitrates during administration with a syringe pump and extension set.
Int J Pharm 1987 ; 39: 183-188.
1232 Czasopismo Beatson C, Taylor A.
A physical compatibility study of furosemide & flucloxacillin injections.
Br J Pharm Pract 1987 ; 9: 223-226, 236.
1332 Czasopismo Lee MG, Fenton-May V.
Absorption of isosorbide dinitrate by PVC infusion bags and administration sets.
J Clin Hosp Pharm 1981 ; 6: 209-211.
1468 Czasopismo Sautou V, Chopineau J, Gremeau I, Chevrier R, Bruneaux F.
Compatibility with medical plastics and stability of continuously and simultaneously infused isosorbide dinitrate and heparin.
Int J Pharm 1994 ; 107: 111-119.
2141 Czasopismo Barinian N, Chanteux H, Viaene E, Servais H, Tulkens PM.
Stability and compatibility study of cefepime in comparaison with ceftazidime for potential administration by continuous infusion under conditions pertinent to ambulatory treatment of cystic fibrosis patients and to administration in intensive care units.
J Antimicrob Chemother 2003 ; 51: 651-658.
2231 Czasopismo de Jongh R, Hens R, Basma V, mouton JW, Tulkens PM, Carryn S.
Continuous versus intermittent infusion of temocillin, a directed spectrum penicillin for intensive care patients with nosocomial pneumonia: stability, compatibility, population pharmacokinetic studies and breakpoint selection.
J Antimicrob Chemother 2008 ; 61, 2: 382-388.
3385 Czasopismo Raverdi V, Ampe E, Hecq JD, Tulkens PM.
Stability and compatibility of vancomycin for administration by continuous infusion.
J Antimicrob Chemother 2013 ; 68: 1179-1182.
4374 Czasopismo Lardinois B, Dimitriou A, Delcave C, Soumoy L, Jamart J, Bihin B, Hecq J-H, Galanti L.M.
Long-term Physicochemical Stability of Concentrated Solutions of Isosorbide Dinitrate in Polypropylene Syringes for Administration in the Intensive Care Unit.
Int J Pharm Compound 2020 ;24,1:64-68
4698 Czasopismo Ayari G, D'Huart E, Vigneron J, Demoré B.
Y-site compatibility of intravenous medications commonly used in intensive care units : laboratory tests on 75 mixtures involving nine main drugs.
Pharmaceutical Technology in Hospital Pharmacy 2022 ; 7(1): 20220002

  Mentions Légales