Última actualización :
27/11/2025
Vasodilatador   Isosorbide dinitrate  
Inyectables
Estabilidad en solucion Estabilidad en mezcla Factores que influyen sobre la estabilidad Compatibilidades método de inyección Bibliografía pdf
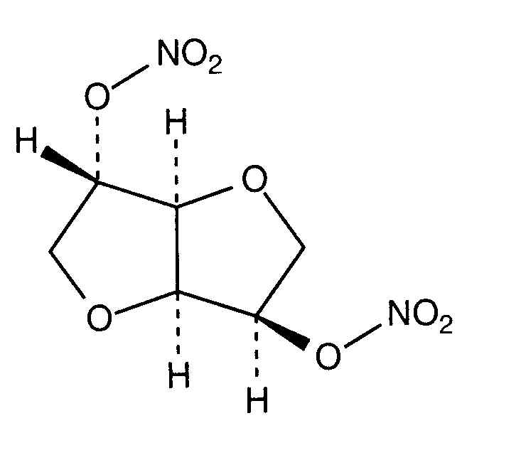
   Estructura química  

Nombre comercial   Nombre comercial     

Los nombres comerciales son orientativos y los excipientes de la formulación pueden ser distintos dependiendo del país y del laboratorio fabricante.

Angsobide Malasia
Cedocard Países Bajos
Diniket Italia
Dinit Gran Bretaña
Ekilbran México
Isoket Arabia Saudita, Austria, Egipto, Emiratos Árabes Unidos, Gran Bretaña, Irlanda, Luxemburgo, Malasia, Marruecos, México, Polonia, Portugal, Suiza, Venezuela
Isonit Ecuador, Marruecos
Nitrosid Finlandia
Nitrosorbide Italia
Risordan Francia
Zanisor México
Bibliografía   Inyectables   Bibliografía : Isosorbide dinitrate  
Tipo Publicación
190 periódico Lee MG.
Sorption of four drugs to polyvinyl chloride and polybutadiene intravenous administration sets.
Am J Hosp Pharm 1986 ; 43: 1945-1950.
350 periódico Martens HJ, De Goede PN, Van Loenen AC.
Sorption of various drugs in polyvinyl chloride, glass, and polyethylene-lined infusion containers.
Am J Hosp Pharm 1990 ; 47: 369-373.
1067 periódico Zeidler C, Dettmering D, Schrammel W, Spieteller M.
Compatibility of various drugs used in intensive care medicine in polyethylene, PVC and glass infusion containers.
EJHP 1999 ; 5: 106-110.
1102 periódico Cossum PA, Roberts MS.
Availability of isosorbide dinitrate, diazepam and chlormethiazole, from i.v. delivery systems.
Eur J Clin Pharmacol 1981 ; 19: 181-185.
1147 periódico De Muynck C, Colardyn F, Remon JP.
Influence of intravenous administration set composition on the sorption of isosorbide dinitrate.
J Pharm Pharmacol 1991 ; 43: 601-604.
1148 periódico De Muynck C, Remon JP, Colardyn F.
The sorption of isosorbide dinitrate to intravenous delivery systems.
J Pharm Pharmacol 1988 ; 40: 601-604.
1161 periódico Allwood MC.
Sorption of parenteral nitrates during administration with a syringe pump and extension set.
Int J Pharm 1987 ; 39: 183-188.
1232 periódico Beatson C, Taylor A.
A physical compatibility study of furosemide & flucloxacillin injections.
Br J Pharm Pract 1987 ; 9: 223-226, 236.
1332 periódico Lee MG, Fenton-May V.
Absorption of isosorbide dinitrate by PVC infusion bags and administration sets.
J Clin Hosp Pharm 1981 ; 6: 209-211.
1468 periódico Sautou V, Chopineau J, Gremeau I, Chevrier R, Bruneaux F.
Compatibility with medical plastics and stability of continuously and simultaneously infused isosorbide dinitrate and heparin.
Int J Pharm 1994 ; 107: 111-119.
2141 periódico Barinian N, Chanteux H, Viaene E, Servais H, Tulkens PM.
Stability and compatibility study of cefepime in comparaison with ceftazidime for potential administration by continuous infusion under conditions pertinent to ambulatory treatment of cystic fibrosis patients and to administration in intensive care units.
J Antimicrob Chemother 2003 ; 51: 651-658.
2231 periódico de Jongh R, Hens R, Basma V, mouton JW, Tulkens PM, Carryn S.
Continuous versus intermittent infusion of temocillin, a directed spectrum penicillin for intensive care patients with nosocomial pneumonia: stability, compatibility, population pharmacokinetic studies and breakpoint selection.
J Antimicrob Chemother 2008 ; 61, 2: 382-388.
3385 periódico Raverdi V, Ampe E, Hecq JD, Tulkens PM.
Stability and compatibility of vancomycin for administration by continuous infusion.
J Antimicrob Chemother 2013 ; 68: 1179-1182.
4374 periódico Lardinois B, Dimitriou A, Delcave C, Soumoy L, Jamart J, Bihin B, Hecq J-H, Galanti L.M.
Long-term Physicochemical Stability of Concentrated Solutions of Isosorbide Dinitrate in Polypropylene Syringes for Administration in the Intensive Care Unit.
Int J Pharm Compound 2020 ;24,1:64-68
4698 periódico Ayari G, D'Huart E, Vigneron J, Demoré B.
Y-site compatibility of intravenous medications commonly used in intensive care units : laboratory tests on 75 mixtures involving nine main drugs.
Pharmaceutical Technology in Hospital Pharmacy 2022 ; 7(1): 20220002

  Mentions Légales