Son güncelleme :
18/03/2026
Diüretik   Spironolactone  
Merhem
Oral solüsyon / oral çözelti
Farmasötik preparatlar Kararlılığı Karışımlardaki stabilitesi Stabiliteyi etkileyen faktörler Uyumluluk Kaynaklar pdf
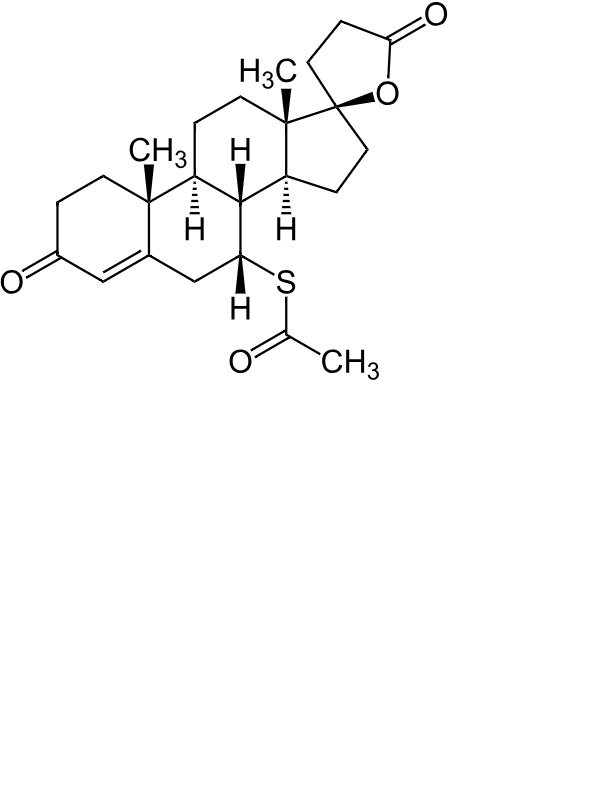
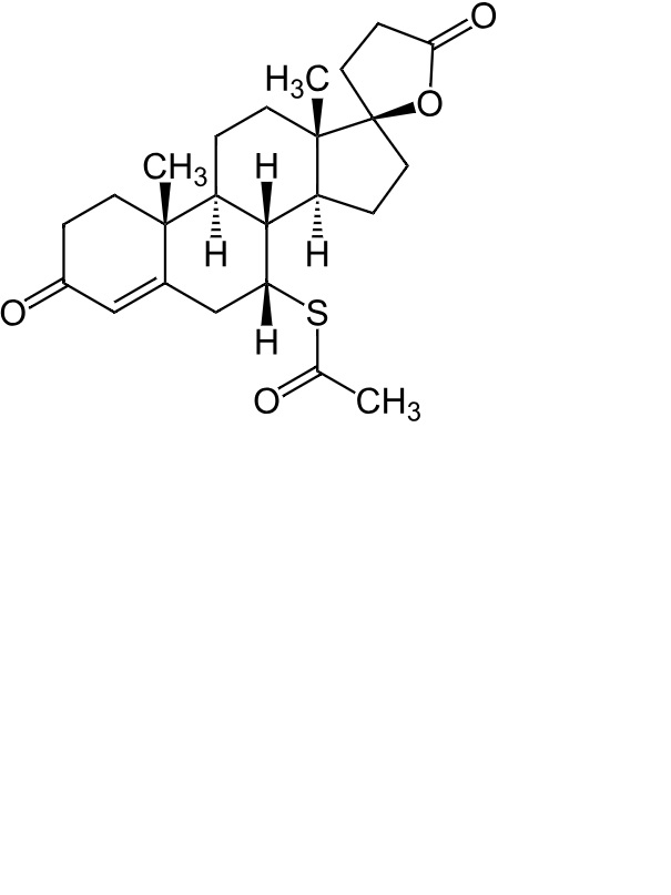
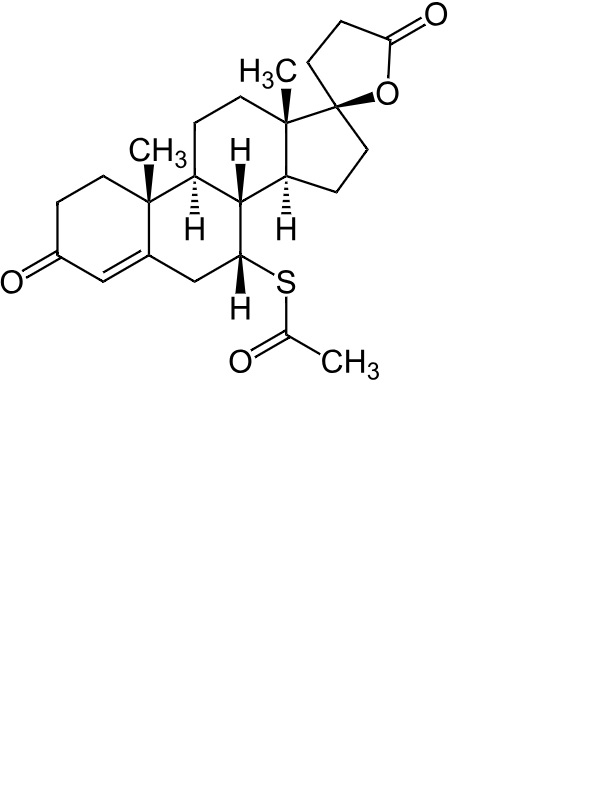
   Kimyasal yapı   

Merhem
Farmasötik preparatlar Kararlılığı   Merhem   Farmasötik preparatlar Kararlılığı : Spironolactone     
Saklama kabı Origine yardımcı madde Isı Saklama    Stabilite süresi Kaynaklar
Cam Toz 1 g
® = ?
Cremophor RH 40 6 g
TrichoSol® >> 100 ml
25°C Işıktan koruyunuz
120 Gün
4921

  Mentions Légales