Последно актуализиране :
05/12/2025
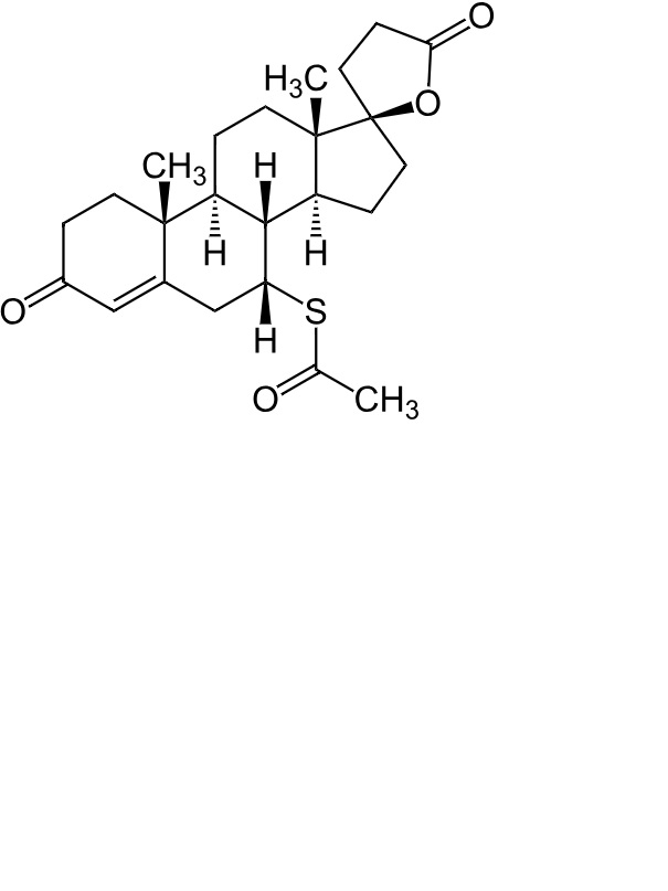
Диуретик   Spironolactone  
Унгвент/Унгвенти
Орален разтвор
Стабилност на лекарствени препарати Стабилност на смеси Фактори, повлияващи стабилността Съвместимост Библиография Pdf
   Химична структура  

Унгвент/Унгвенти
Стабилност на лекарствени препарати   Унгвент/Унгвенти   Стабилност на лекарствени препарати : Spironolactone     
Контейнер Origine Помощно вещество Температура Съхранение Продължителност на стабилността Библиография
Стъкло Прах 1 g
® = ?
Cremophor RH 40 6 g
TrichoSol® >> 100 ml
25°C Защита от светлина
120 Ден
4921

  Mentions Légales