Pēdējā atjaunošana :
18/03/2026
Infostab
Saraksti
Kopsavilkums
Meklēt saderības
Y-savienojuma saderības tabula
Literatūras saraksts
pētniecības grupas
valistab
plakāts
Savienojumi
sponsori
Autori
Lietošanas instrukcija
Newsletter
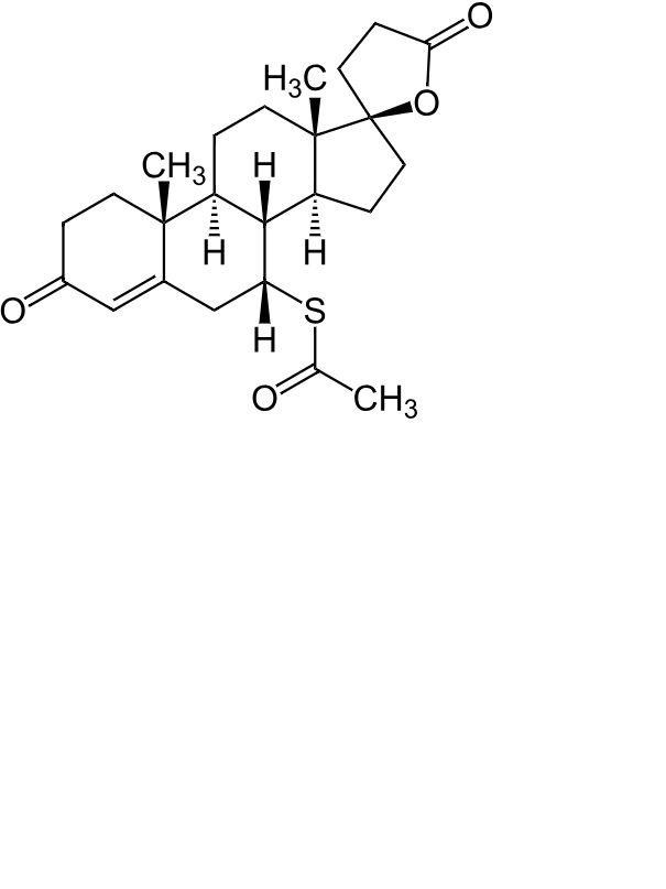
Spironolactone
Ķīmiskā uzbūve
Stabilitāte farmaceitisko preparātu : Spironolactone
1 g
® = ?
Cremophor RH 40
6 g
TrichoSol®
>> 100 ml
25°C
120
4921
Mentions Légales